Abuso de posición dominante
Actuación de una empresa o grupo de empresas para que el precio en el mercado se sitúe por encima del coste marginal (coste variable de la última unidad necesaria para cubrir la demanda).
Acceso de terceros a la red (ATR)
Se refiere al derecho de acceso a las redes de transporte (que, en España, gestiona REE) y de distribución (que gestionan diferentes empresas en cada zona) de electricidad por parte de los productores, autoproductores, comercializadores, y consumidores que adquieren directamente su energía en el mercado. Este derecho sólo puede ser restringido por la falta de capacidad necesaria y por razones exclusivas relacionadas con la seguridad de suministro. La resolución de los conflictos de acceso a las redes es competencia del regulador (CNMC).
Amortización
Contablemente, la amortización es la imputación de la parte de una inversión como gasto durante varios años. Su propósito es reconocer la pérdida de valor o depreciación del activo a lo largo de su vida física o económica. Al imputarse como un gasto, la amortización reduce los beneficios a los que se aplica el Impuesto de Sociedades, actuando como un “escudo fiscal” destinado a que el Impuesto sólo grave la rentabilidad que los accionistas perciben por encima de las aportaciones que hicieron a la sociedad.
El concepto “amortización” también se refiere a la parte del principal que un prestamista o inversor recupera anualmente (al margen de los intereses). Existen distintos métodos de amortización, siendo los más populares el alemán, el francés y el americano. En el Apéndice de esta sección se describen y comparan dichos métodos con un ejemplo.
Amortización acumulada
Suma de las dotaciones anuales por amortización del inmovilizado desde su puesta en explotación.
Análisis coste-beneficio
Método de evaluación de inversiones u otras decisiones con impacto económico que consiste en comparar el beneficio derivado y el coste correspondiente a dicha inversión o decisión.
Arbitraje
Operaciones simultáneas de comprar y vender un mismo producto en dos mercados separados en el espacio o en el tiempo con la finalidad de obtener beneficios aprovechando las diferencias de precios. El arbitraje siempre induce mejoras en la asignación agregada de los recursos escasos. En el lenguaje coloquial, al arbitraje se le denomina “especulación”.
Aversión al riesgo
Describe el comportamiento de los inversores (individuos o empresas) que asocian un coste adicional a una inversión por el hecho de conllevar riesgo. Por tanto, para que este tipo de inversor acepte asumir una inversión con riesgo ésta deberá tener, en media, un mayor rendimiento esperado que el exigido por un inversor no averso al riesgo.
Barreras de entrada
Factores que impiden que nuevas empresas entren en un mercado. Habitualmente se manifiestan en forma de costes que deben asumir las empresas que quieren entrar en un mercado y que no son soportados por, o son sensiblemente inferiores, para las empresas ya instaladas en ese mercado.
Barreras a la salida
Obstáculos que impiden o dificultan a una empresa la salida del mercado y las obliga a permanecer en la industria operando, a pesar de obtener malos resultados económicos e incluso pérdidas. Pueden estar asociados a activos poco liquidables, a la existencia de regulaciones laborales, compromisos de largo plazo con clientes o proveedores, interrelaciones estratégicas, por ejemplo, entre unidades de negocio.
Beneficios extraordinarios
Ganancias que una empresa obtiene que superan las expectativas normales del mercado, frecuentemente como resultado de condiciones atípicas. Pueden surgir de factores como el aumento súbito de la demanda, la reducción inesperada de costes o la adquisición de activos a precios significativamente inferiores a su valor de mercado. En un mercado competitivo, los beneficios extraordinarios son temporales, no son sostenibles a largo plazo.
Beneficios sobrevenidos
Beneficios extraordinarios y sostenidos en el tiempo debidos a circunstancias imprevistas y más allá del control de las empresas.
“windfall profits”: en el sector energético, este término suele hacer referencia a los ingresos que las empresas perciben por encima de sus costes variables de funcionamiento (combustible, derechos de emisión de CO2, O&M variable, etc.). Afloran en las tecnologías inframarginales por el hecho de que el precio sea igual al coste incremental de la última unidad de energía producida para cubrir la demanda. Los “windfall profits” no son necesariamente beneficios pues, para ello, los ingresos deben ser superiores a la suma de los costes variables y de los costes fijos (amortización de la inversión y O&M fijo). Tampoco son necesariamente beneficios extraordinarios pues, para ello, los ingresos deben ser superiores a la suma de los costes variables, los costes fijos (amortización de la inversión y O&M fijo) y la rentabilidad que refleje el coste de uso del capital propio del nivel de riesgo del negocio.
Bien público
Bien en el consumo del cual no hay rivalidad. Además, algunos bienes públicos tienen la propiedad de ser de difícil exclusión. La no rivalidad implica que el consumo del bien por parte de un agente no reduce su disponibilidad para su consumo por otros. La no exclusión implica que, una vez que se suministra, no se puede impedir que otros disfruten de dicho bien, o que resulta muy costoso hacerlo. Un bien público puro es no rival y no exclusivo, el ejemplo típico es la defensa nacional. Ejemplo de un bien público no rival, pero exclusivo, es un parque natural, ya que se puede limitar el acceso.
Algunos bienes públicos son no exclusivos y no rivales sólo hasta un cierto nivel de uso, como las carreteras, ya que en caso de llegar al nivel límite de uso, los bienes sufren congestión.
El nivel de producción de los bienes públicos, cuando su provisión es descentralizada y cada agente aporta lo que desea a su financiación, tiende a ser inferior al óptimo porque existen incentivos para que las personas infradeclaren su valoración del bien, con el objetivo de que sean otros quienes asuman el coste de desarrollo y producción y que así “les salga gratis” (free riding). Por ese motivo, en presencia de bienes públicos, el mercado no asigna eficientemente los recursos.
Cargos regulados del sistema eléctrico
Componente del precio final de la electricidad establecido por el Gobierno con el fin de financiar diversos costes no relacionados con el suministro (principalmente, la retribución a las energías renovables y la cogeneración, la amortización de deudas históricas y el sobrecoste de la generación en territorios no peninsulares).
Cártel
Acuerdo formal entre empresas del mismo sector para reducir o eliminar la competencia en un determinado mercado. Mediante la colusión, las empresas abusan del poder de mercado conjunto, lo que les permite obtener mayores beneficios, en perjuicio de los consumidores. Los cárteles de empresas están prohibidos en muchos países. También existen cárteles de países, por ejemplo la OPEP, que es un cártel de países productores de petróleo.
CNMC
La Comisión Nacional de los Mercados y la Competencia es un organismo público con personalidad jurídica propia, independiente del Gobierno y sometido al control parlamentario, que entró en funcionamiento el 7 de octubre de 2013 y que promueve y preserva el buen funcionamiento de todos los mercados, en interés de los consumidores y de las empresas.
CNMV
La Comisión Nacional del Mercado de Valores es una entidad de derecho público con personalidad jurídica propia encargada de supervisar e inspeccionar el mercado bursátil, autorizar la admisión de valores a cotización, proponer la autorización de sociedades y agencias de valores, velar por la transparencia y por la protección del inversor, supervisar e inspeccionar el mercado de derivados y difundir la información.
Código de conducta
Documento redactado voluntariamente por un agente o grupo de agentes (pueden ser empresas, empleados, etc.), en el que se expone una serie de principios de comportamiento que se compromete unilateralmente a seguir. En algunos casos, los códigos de conducta alcanzan a las empresas proveedoras, subcontratistas y terceristas. En líneas generales los códigos de conducta están referidos a cuestiones anti-corrupción, laborales, ambientales y legales.
Colusión
Acuerdo entre empresas que compiten entre sí, o cuyas actividades se complementan verticalmente, ya sea para aumentar o fijar los precios, o para reducir la producción y así incrementar sus ganancias. El beneficio resultante del acuerdo implica un perjuicio para el resto de los productores o consumidores.
A diferencia del cártel, en la colusión no se necesita un acuerdo formal entre los participantes, aunque los efectos económicos de ambos fenómenos son los mismos. En industrias oligopolistas, las decisiones de las empresas en cuanto a producción y precio siempre están en función de las acciones de sus competidores. Pero si algunos participantes de una industria oligopolista coordinan sus acciones como si fueran un cártel, aunque no tengan un acuerdo formal se dice que hay colusión tácita o paralelismo consciente.
Factores que pueden limitar la colusión son por ejemplo la heterogeneidad de los productos, la existencia de diferencias importantes de costes entre las empresas, la existencia de consumidores sofisticados, o que existan cambios tecnológicos rápidos.
Comercializador de energía eléctrica
Empresa que compra energía eléctrica en el mercado mayorista o a otras empresas y la vende a los usuarios finales o a otras empresas.
Contrato de futuros
Aquel contrato que establece la compraventa de un activo en una fecha futura a un precio determinado en el momento de formalizar el contrato. A diferencia de un contrato de opción, los futuros son de obligado cumplimiento.
Contrato de opción
Aquel contrato por el que una parte tiene el derecho (no la obligación) de vender o comprar un activo a otra a un precio pactado en una fecha determinada a cambio de pagar una prima en el momento de firmar el contrato.
Coste de oportunidad
es el igual al valor que un agente deja de percibir por asignar un recurso escaso a una actividad concreta en lugar de asignarlo a una actividad alternativa. Se trata, por tanto, del valor de la mejor decisión o inversión alternativa. También se conoce como el “valor de la mejor opción no realizada”. No se trata de un concepto contable, sino que refleja los usos alternativos de los factores o recursos que se usan en la producción o inversión, por lo que deben guiar las decisiones de producción e inversión. En un mercado competitivo, el precio refleja los costes de oportunidad.
Coste de reposición
Coste de reponer un activo a fecha de hoy.
Coste del capital (para el accionista)
Rentabilidad que el accionista de una empresa espera obtener de su inversión. Es un coste para la empresa igual al pago que debe satisfacer a sus accionistas en términos de dividendos o plusvalías para cubrirles su coste de oportunidad y hacer atractiva la inversión.
Coste de uso del capital (total)
es una media ponderada entre el coste del capital para el accionista y el coste de la deuda emitida por la empresa. Las ponderaciones son, respectivamente, el peso de los recursos propios y de los recursos ajenos respecto del total de recursos financieros de la empresa.
Coste marginal
Coste adicional en el que se incurre al producir una unidad más del bien o del servicio. Se calcula midiendo el incremento del coste total que supone la producción de una unidad adicional, por lo que depende de la cantidad producida. Si decrece es que la siguiente unidad producida es más barata de obtener que la anterior unidad. Si crece es porque la siguiente unidad es más costosa de producir que la unidad anterior.
Coste medio
Coste por unidad producida. Se calcula dividiendo el coste total (es decir, coste fijo más coste variable) de producir una cierta cantidad por esa cantidad. El coste medio depende del nivel de la cantidad producida. Si el coste medio decrece significa que al producir una unidad más el coste por unidad disminuye. Esto sólo puede ocurrir si el coste marginal de la unidad adicional es menor que el coste medio de la cantidad producida anteriormente. Si el coste medio crece significa que produciendo más por unidad las unidades salen más caras. Esto es el caso cuando la última unidad producida tiene un coste marginal superior al coste medio de las unidades anteriores.
Coste fijo
Aquella parte del coste que no depende del nivel de producción de la empresa y en el que ha de incurrirse se produzca o no, se produzca mucho o poco. En esta categoría, se incluyen costes de inversión y costes fijos de operación y mantenimiento.
Coste hundido
Es un coste en el que ya se ha incurrido y que, por tanto, no debe influir en las decisiones actuales o futuras, que deben adoptarse comparando ingresos y costes incrementales. Por ejemplo, una vez construida, el coste de inversión en una fábrica es un coste hundido. La decisión de producir (o cerrar) sólo debe depender de los márgenes operativos esperados (la diferencia entre los ingresos y los costes incrementales asociados a la producción que se esperan a lo largo de la vida útil de la fábrica) y no debe depender de los costes de inversión que aún estén pendientes de recuperar.
Coste variable
Aquella parte del coste que depende del nivel de producción de la empresa. El coste variable aumenta cuando la empresa produce más bienes. Corresponde a la suma de todos los costes marginales de la empresa. En esta categoría se incluyen costes de combustible, costes de adquisición de derechos de emisión, etc.
Cuota de mercado
La proporción de ventas de una empresa en un mercado en relación al total de ventas producidas. También puede referirse a la proporción del número de clientes suministrados en relación al número total de clientes.
Déficit tarifario (o déficit de tarifas)
Diferencia entre el monto total recaudado por las tarifas de acceso (que fija el regulador correspondiente) y los costes asociados a dichas tarifas.
Deflación
Descenso sostenido, medido en términos porcentuales, del nivel de precios de los bienes y servicios de una economía durante un periodo de tiempo.
Demanda
Cantidad de un bien o de un servicio que los consumidores están dispuestos a comprar a cada nivel de precios.
Depreciación
Disminución del valor de un bien a lo largo del tiempo, comparado con el que tenía antes o con el de otros bienes similares.
Derogación
Procedimiento por el que se deja sin efecto una disposición normativa. La derogación puede ser expresa (resultante de una disposición que aparece por ejemplo en una nueva ley) o tácita (cuando se deriva de la incompatibilidad entre el contenido por ejemplo de una nueva ley y el de la derogada).
Dividendo
Parte de los beneficios que la empresa reparte anualmente entre sus accionistas.
Dividendo a cuenta y complementario
El primero es el dividendo que se reparte a cuenta de los dividendos previstos para un ejercicio, antes de la aprobación formal por parte de la Junta General de Accionistas. El segundo es el que completa el dividendo entregado a cuenta una vez aprobada por la Junta General de Accionistas la cantidad definitiva a repartir.
Discriminación de precios
Consiste en vender bienes idénticos a distintos precios. Esta práctica exige que los vendedores tengan la capacidad de evitar la reventa. Existen tres tipos de discriminación posible: de primer grado, o discriminación perfecta, que consiste en vender cada unidad a un precio distinto al individuo que esté dispuesto a pagar más por ella; de segundo grado, que consiste en poner un menú de precios diferentes (precios no lineales que varían con la cantidad demandada) destinadas a distintos compradores para que cada uno elija la que prefiere y se separen en grupos diferentes (por ejemplo, billetes individuales y pases mensuales en el transporte público, o tarifas en dos partes); de tercer grado, cuando se cobran distintos precios a distintos grupos de demandantes (por ejemplo, precios diferentes para estudiantes y jubilados).
EBITDA
Abreviatura de “Earnings Before the deduction of Interest, Tax, Depreciation, and Amortization expenses” (en castellano, resultado bruto de explotación) que corresponde al resultado obtenido por la compañía antes de intereses, impuestos, depreciaciones y amortizaciones.
EBIT
Abreviatura de “Earnings before interests and taxes” (en español, resultado neto de explotación), es el beneficio obtenido por la empresa antes del resultado financiero e impuesto sobre beneficios.
Economías de escala
Reducciones en el coste medio que se producen cuando se aumenta el nivel de producción de una empresa. Las economías de escala pueden deberse a varios factores, entre otros: reducción en el coste medio al comprar mayor cantidad de factores, utilización de tecnologías diferentes, mejoras en la gestión gracias a la especialización de los gestores, expansión de mejores prácticas de gestión, obtención de menores tipos de interés gracias a un mayor tamaño de empresa y utilización de un abanico mayor de instrumentos financieros.
Efecto de red
Es un tipo particular de externalidad que se produce cuando cada nuevo usuario añade valor a un producto por el simple hecho de unirse a la comunidad de usuarios. Por ejemplo, si el teléfono tiene sólo dos usuarios, éstos sólo pueden hablar entre ellos, pero cada vez que un usuario se añade, la utilidad del teléfono para los demás aumenta. Además, cuantos más miembros tiene la red de usuarios más valor tiene para un no miembro pertenecer a ella y al mismo tiempo menos aportaría éste al valor de la red si se sumara a ella (el valor marginal de esta externalidad es decreciente). Tecnologías con claros efectos de red son el teléfono, el correo electrónico o el fax.
Los efectos o economías de red dificultan la sustitución tecnológica
el ejemplo típico ha sido el mantener el estándar “QWERTY” del teclado. Este orden fue diseñado para minimizar las limitaciones técnicas de las máquinas de escribir mecánicas, y aunque existen otras disposiciones de teclado que al parecer son más eficientes para la velocidad y precisión al mecanografiar, así como más ergonómicas, no se ha realizado la sustitución.
Eficiencia paretiana
En economía, se utiliza la definición de eficiencia dada por el economista italiano Vilfredo Pareto, quien considera que una situación es eficiente (“óptimo de Pareto”) cuando ninguno de los agentes puede mejorar su bienestar sin reducir el bienestar de cualquiera de los otros agentes. Por tanto, mientras que uno de los individuos incluidos en el sistema pueda mejorar su situación sin perjudicar a otro nos encontraremos en situaciones no óptimas en el sentido paretiano y en consecuencia mejorables.
El concepto de óptimo paretiano no incluye consideraciones de justicia o equidad en la asignación de recursos, factores, bienes y servicios, o en la propiedad de éstos. Así, en una economía en la que se distribuyan 10 unidades de un bien para su consumo entre dos individuos serían óptimos de Pareto tanto una distribución del tipo 10 y 0, como otra del tipo 5 y 5, puesto que una vez asignados los bienes, en ambos casos para mejorar la situación de un individuo irremediablemente se empeoraría la situación del otro.
Eficiencia productiva
Término que se refiere a la minimización de los costes de producir bienes y servicios, o, lo que es lo mismo, situación en la que se están usando de la mejor manera posible los factores (trabajo, capital, materias primas) en la producción de bienes o servicios.
Elasticidad
Cociente entre el cambio proporcional de una variable con respecto del cambio proporcional de otra variable. Mide la sensibilidad de una variable respecto de otra y se utiliza a menudo para saber cómo reacciona la cantidad demandada o la cantidad ofertada ante cambios en los precios.
Por ejemplo, la elasticidad de la demanda de un bien (o servicio) respecto del precio de ese mismo bien se obtiene como cociente entre la variación porcentual de la cantidad demandada y la variación porcentual en el precio de dicho bien. El resultado se conoce como elasticidad-precio de la demanda. Por ejemplo, si el valor estimado de la elasticidad-precio es de 0,2, esto significa que ante un aumento del 10% en el precio, la cantidad demandada cae en un 2%. Los bienes cuya demanda es muy sensible al precio, de modo que pequeñas variaciones en su precio provocan grandes variaciones en la cantidad demandada, se dice que tienen demanda elástica. Éste es el caso de los bienes de lujo o los bienes con muchos sustitutivos (como la demanda de una determinada marca de refresco). Los bienes que, por el contrario, son poco sensibles al precio son los de demanda inelástica o rígida. Es el caso de los bienes necesarios, como la demanda de gasolina, de petróleo o de electricidad.
Para medir la sensibilidad de la demanda de un bien a las variaciones en el precio de otro se utiliza el concepto de elasticidad cruzada, que sería el porcentaje en que varía la cantidad demandada de un bien cuando el precio de otro varía en un uno por ciento. La elasticidad cruzada será positiva si las variaciones en el precio y en la cantidad demandada van en el mismo sentido. Esto ocurre en el caso de los bienes sustitutivos (el aceite de oliva y el de girasol). El sentido del cambio es diferente entre el precio y la demanda de los bienes complementarios (coches y gasolina), para los que la elasticidad cruzada es negativa.
La elasticidad-renta de la demanda es el porcentaje en que varía la cantidad demandada de un bien cuando la renta de los consumidores varía en un uno por ciento. Por ejemplo, si la estimación de elasticidad-renta para la demanda es 0,36 esto indica que ante un aumento del 10% en la renta, la cantidad demandada aumenta en un 3,6%.
Escala mínima eficiente
Es la escala más pequeña a la que una planta (o empresa) puede producir de forma que sus costes medios a largo plazo se reducen al mínimo. Es el punto en que costes medios y costes marginales se igualan. Es un concepto básico para determinar la probable estructura de mercado en una industria dada: si la escala mínima eficiente es pequeña en relación con el tamaño total del mercado (demanda del bien), es más probable que haya un gran número de empresas actuando en ese mercado.
Especular
Comportamiento de compra y venta de un mismo producto en mercados separados en el espacio o en el tiempo para obtener beneficios de las diferencias entre los precios. Es el término coloquial para lo que los economistas denominan “arbitrar entre mercados”.
Excedente del consumidor
Diferencia entre lo que los consumidores están dispuestos a pagar por consumir un bien y el precio que realmente pagan por éste.
La oferta y la demanda de un producto o servicio se pueden representar mediante líneas en un gráfico bidimensional (como en el gráfico 1), donde se miden en el eje de las abscisas las cantidades y en el eje de las coordenadas los precios. El excedente del consumidor es la diferencia entre el importe que los consumidores están dispuestos a pagar por una determinada cantidad X* de un producto o servicio (el área por debajo de la curva de demanda) y lo que realmente pagan por ella (el producto del precio por la cantidad consumida). El área situada debajo de la curva de demanda y encima del precio mide el excedente del consumidor (área sombreada en color naranja). Así, cuanto menor sea el precio, mayor será el excedente del consumidor.
Gráfico 1. Representación gráfica del excedente del consumidor: : diferencia entre el importe que los consumidores están dispuestos a pagar y lo que realmente pagan

Excedente del productor
Valor que reciben los productores de un bien, por encima del coste de oportunidad en que incurren al producirlo.
La oferta y la demanda de un producto o servicio se pueden representar mediante líneas en un gráfico bidimensional (como el gráfico 2), donde se miden en el eje de las abscisas las cantidades y en el eje de las coordenadas los precios. El excedente del productor es el beneficio que obtiene el oferente por la venta de un bien o servicio menos el coste variable de producirlo. En el gráfico anterior el excedente del productor está representado en color verde oscuro. El excedente del productor se incrementa cuando aumenta el precio del bien o servicio que ofrece.
Gráfico 2. Representación gráfica del excedente del productor: diferencia entre lo que ingresa el productor y los costes variables en los que incurre para producir

Exceso de demanda
Situación que se produce cuando la cantidad demandada de un bien o servicio supera a la cantidad que se ofrece en el mercado al precio vigente. El exceso de demanda suele llevar a un aumento del precio del mercado.
Exceso de oferta
Grado en el que la cantidad producida supera a la cantidad demandada a un determinado precio. El exceso de oferta suele llevar a una disminución del precio del mercado.
Exceso de capacidad
Situación que se produce cuando en un momento del tiempo la producción de una empresa es inferior a la cantidad alcanzable u óptima (mínimo de los costes medios), debido al nivel de la demanda.
Exclusión en el consumo
Situación en la que el proveedor de un bien puede impedir que una persona determinada acceda a ese bien.
Expectativas
Previsión que se forma un agente económico sobre la evolución del comportamiento de otros agentes económicos y/o de variables económicas (precios, stocks, déficit público, etc.).
Externalidad (o efecto externo)
Se refiere al efecto de la decisión de un agente económico sobre el beneficio o bienestar de otro, y por el que no hay compensación. Una externalidad es positiva cuando las decisiones de un agente aumentan el bienestar de otros (por ejemplo, tener un vecino que cuida un jardín). Una externalidad es negativa cuando ocurre lo contrario (por ejemplo, la contaminación). Sólo podemos hablar de externalidades si el beneficio o el coste no se reflejan en el precio del mercado. La teoría económica ha propuesto varios tratamientos para el problema de las externalidades: (1) La asignación de los derechos de propiedad (y creación de mercados para ellos), (2) utilizar impuestos y subvenciones, (3) establecer normas de comportamiento (regulación).
Factor de eficiencia X
Término incluido en la fórmula de evolución de la retribución de una empresa sujeta a regulación por incentivos que recoge tanto los aumentos esperados de productividad como la disminución esperada de sus costes durante el periodo regulatorio.
Fallo de mercado
Existe un fallo del mercado cuando no es posible alcanzar un nivel de provisión óptima de bienes o de servicios a través del mercado. Algunos fallos de mercado se deben a la existencia de bienes públicos o externalidades. Otros fallos de mercado se deben a la existencia de monopolios naturales, o asimetrías de información entre los participantes del mercado. La existencia de fallos de mercado suele precisar la intervención del gobierno para mejorar la eficiencia en la provisión.
Fallo de regulador
Existe un fallo del regulador cuando determinadas circunstancias interfieren en el diseño de medidas dirigidas a conseguir eficiencia en los mercados.
Fondo Nacional de Eficiencia Energética (FNEE)
Instrumento creado para la financiación de las iniciativas nacionales de eficiencia energética. Se sostiene con las aportaciones de las empresas comercializadoras de energía. Es gestionado por el Instituto para la Diversificación y Ahorro de la Energía (IDAE).
Gestión de la demanda
Conjunto de acciones o soluciones enfocadas a tratar de forma eficiente el consumo de los agentes para reducir sus costes energéticos y/o disminuir la demanda del sistema eléctrico en las horas de mayores precios.
Gestión de riesgos de una cartera de activos
Búsqueda del conjunto de contratos que permita alcanzar una cierta rentabilidad minimizando el riesgo.
Incentivos
Acciones de un agente sobre otro para motivarlo a realizar una actividad concreta. Los incentivos se llaman también alicientes, recompensas o estímulos. Ejemplos de incentivos son las subvenciones, las bonificaciones y deducciones fiscales, los premios y las sanciones, los beneficios sociales, las oportunidades de progreso, la estabilidad en el cargo, supervisión abierta, elogios, etc.
Incertidumbre y riesgo
Conceptos que se usan para expresar que la consecuencia de una decisión no es un resultado seguro, sino que varios resultados son posibles. Así por ejemplo existe “incertidumbre tecnológica” cuando la empresa no puede predecir con seguridad el nivel de producción que se obtendrá a partir de un conjunto determinado de factores de producción; existe “incertidumbre de mercado” cuando una empresa no es capaz de predecir con seguridad los precios a los cuales comprará o venderá.
En una inversión, el grado de rentabilidad esperada es proporcional al del riesgo que se asume
una inversión de alto riesgo supone que el inversor esperará obtener una alta rentabilidad que le compense el riesgo y a la inversa.
Algunos autores diferencian entre los conceptos de riesgo e incertidumbre. Consideran que existe “riesgo” cuando la información es imperfecta pero cuantificable, en el sentido de que para cada decisión hay una distribución de probabilidades conocida para el conjunto de resultados, mientras que existe “incertidumbre” cuando se conocen los resultados posibles, pero no se pueden asignar probabilidades objetivas, o ningún rango de probabilidades.
Índice de Herfindahl-Hirschman (IHH)
Es una medida comúnmente aceptada de concentración de un mercado. Se calcula sumando los cuadrados de las cuotas de mercado de las empresas que participan en el mercado, por lo que el índice tiene en cuenta el tamaño relativo y la distribución de las empresas en el mercado.
El IHH aumenta conforme aumenta la asimetría entre las cuotas de mercado de las empresas
si en una industria hay una sola empresa (que tiene una cuota de mercado del 100%) el IHH sería de 10.000. Si hay muchas empresas que compiten y cada una tiene una cuota de mercado de casi 0%, el IHH estaría cerca de cero, indicando competencia casi perfecta. Por ejemplo, si en el mercado hay cuatro empresas con cuotas del 40%, 30%, 20% y 10%, el IHH del mercado es de 1.600+900+400+100 = 3.000. Si hay cuatro empresas y cada una tiene el 25% del mercado el IHH es 2.500.
En la práctica, la Unión Europea estima que es improbable que un mercado esté demasiado concentrado cuando el IHH toma valores por debajo de 2.000 y la cuota de mercado de la empresa más grande no supere el 25%.
Inflación
Aumento sostenido, medido en términos porcentuales, de los precios de los bienes y servicios de una economía durante un periodo de tiempo. Una forma de medir la inflación es mirar la evolución del índice de precios al consumo (IPC), que mide las variaciones de una “cesta representativa” de bienes y servicios consumidos de forma habitual por los hogares en cada período de tiempo.
Integración horizontal
Compra o fusión de una empresa con otra que compite en su mismo sector de actividad.
Integración vertical
Decisión de asumir distintas fases de un proceso de producción y creación de valor, desde la obtención de la materia prima hasta la terminación de productos destinados al consumo y su distribución final. Una forma de integrarse verticalmente es la toma del control por parte de una empresa de otras empresas implicadas en las diferentes etapas del proceso de producción.
Índice de Precios al Consumo (IPC)
Índice que mide la evolución de los precios de un conjunto de productos y servicios representativos (al que se denomina “cesta”) del consumo de los hogares, que se utiliza para estimar la evolución del coste de vida. Se utiliza para determinar la tasa de inflación (o de deflación) de la economía y para deflactar las variables económicas.
Liberalización
Proceso por el cual el Estado disminuye o elimina el control y la intervención sobre un mercado. En el caso del sector eléctrico, la liberalización consiste en pasar de un sistema en el que los consumidores tienen la obligación de adquirir la energía a un suministrador determinado a un precio y con unas condiciones fijados administrativamente, a un sistema de mercado en el que hay varios suministradores que compiten entre sí y el suministro se realiza a precios y con condiciones libremente pactadas.
Libre entrada
Término usado por los economistas para describir una situación en la que las empresas pueden entrar libremente en el mercado de un bien o servicio. La libre entrada es una condición necesaria para que un mercado sea competitivo.
Mercado
Se refiere a la plaza (real o virtual) en la que tienen lugar las transacciones, acuerdos o intercambios de bienes y servicios entre compradores y vendedores. En Economía se define como el lugar (real o virtual) donde confluyen la oferta y la demanda, y en consecuencia también se entiende que el mercado es el conjunto de todos los vendedores y compradores reales y potenciales de un producto.
Mercado de contratos bilaterales físicos de energía eléctrica
Mercado no organizado en el que los agentes intercambian bilateralmente contratos a precios, cantidades y condiciones contractuales negociadas libremente entre las partes. Mediante un contrato bilateral físico de abastecimiento de energía el suministrador asegura la inyección en el sistema de la producción especificada por parte de sus unidades de generación.
Mercado de contratos bilaterales financieros de energía eléctrica
Mercado no organizado en el que los agentes intercambian contratos con liquidación financiera por diferencias. Es decir, en estos contratos no hay entrega física de la energía contratada y se paga o cobra la diferencia entre el precio del mercado diario y el valor pactado en el contrato. La función de estos contratos es reducir la exposición a la volatilidad de precios en el mercado de corto plazo del generador y del comprador final.
Mercado impugnable
Se dice que un mercado es impugnable (también denominado expugnable, atacable, o contestable) cuando, a pesar de tener una estructura de mercado monopolista u oligopolista, sus resultados se asemejan a una estructura de mercado competitivo. Ello se debe a que la empresa en situación de monopolio está amenazada por competidores potenciales, candidatos a entrar en el mercado. Para que esto no ocurra, la empresa monopolista debe comportarse de forma cercana a la competencia perfecta, disminuyendo su precio de venta hasta que sea igual al coste marginal, mejorando e innovando el producto o servicio, etc. Lo que provoca que su poder monopolista de mercado se vea notablemente mermado.
Mercado liberalizado (eléctrico)
Mercado en el que los consumidores pueden seleccionar una empresa suministradora y pactar libremente las condiciones contractuales del suministro.
Mercado marginalista o “pay-as-clear”
Mercado en el que todas las unidades se venden al mismo precio. Así por ejemplo en el mercado eléctrico los generadores expresan sus deseos de venta emitiendo pujas (precios-cantidades) con lo que se forma la curva de oferta. El precio para el que oferta y demanda de electricidad coinciden (se cortan) determina el precio uniforme del mercado. Se despachan aquellas unidades con menores pujas hasta satisfacer toda la demanda (orden de mérito) y las unidades despachadas reciben como precio la puja de la última unidad vendida.
Mercado OTC (“over the counter”) de energía eléctrica
Mercado no organizado de contratos bilaterales físicos o financieros.
Mercado “pay-as-bid”
Mercado basado en una subasta en la que los oferentes anuncian sus deseos de venta y donde la cantidad intercambiada es aquella para la que la oferta y demanda coinciden, pero el precio de cada cantidad vendida es aquel al que se ofreció venderla, es decir, no es común para todas las unidades vendidas del bien.
Monopolio
Situación en la que una sola empresa produce un bien o servicio del que no hay substituto. Una empresa monopolista puede fijar su nivel de producción y precios sin tener en cuenta a ningún rival, dado que los consumidores no tienen acceso a ninguna otra empresa si desean adquirir el bien o servicio. Ello lleva los monopolios a fijar precios altos (por encima del coste marginal o del coste de oportunidad) y a un nivel de producción menor que el óptimo.
Monopolio natural
Un caso particular de monopolio en el cual una empresa puede producir toda la producción del mercado con un coste menor que si hubiera varias empresas produciendo, es decir, es eficiente que sólo una empresa se encargue de toda la producción. Hay un monopolio natural cuando la tecnología presenta economías de escala para cualquier nivel de producción que el mercado puede demandar. Por ejemplo, el transporte de la electricidad es un monopolio natural: sería muy costoso tener varias empresas transportando electricidad ya que exigiría duplicar las líneas de alta tensión.
Moratoria nuclear
Obligación de suspender temporalmente la construcción y puesta en marcha de centrales energéticas de fisión atómica (centrales nucleares), como la que se aprobó en España en el año 1983.
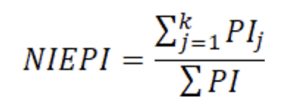
NIEPI
Es el número de interrupciones equivalente de la potencia instalada en media tensión (1 kV<V≤36 kV). Se calcula utilizando la siguiente expresión:

Siendo:
PIj = potencia instalada en centros de transformación en media/baja tensión, más potencia contratada en media tensión en la red de distribución, afectadas por la interrupción j (medida en kVA)
∑= potencia total instalada en centros de transformación en media/baja tensión, más potencia total contratada en media tensión en la red de distribución (medida en kVA)
K = número total de interrupciones de más de 3 minutos durante el periodo de tiempo en el que se calcule el NIEPI
Oferta
Cantidad de bienes o servicios que las empresas están dispuestos a vender para cada nivel de precio. A veces también se define como la cantidad de productos y servicios disponibles para ser consumidos.
Oligopolio
Estructura de mercado con varias (pocas) empresas que son conscientes de su interdependencia respecto a producción, ventas, inversión, etc. El poder de mercado de una empresa oligopolista depende de varios factores, entre ellos su cuota de mercado, el número de empresas en la industria, la tecnología, las barreras a la entrada y salida del sector, la semejanza o diferencia entre las empresas existentes, etc.
OPA (oferta pública de adquisición)
Operación por la que una persona física o jurídica realiza una oferta a los accionistas de una sociedad con el propósito de hacerse con una participación significativa para tomar el control de la misma. Cuando se realiza con la aprobación de la dirección de la sociedad a la que se destina se denomina “OPA amistosa” y, cuando no cuenta con dicha aprobación, se denomina “OPA hostil”.
Periodo regulatorio
número de años que transcurren entre una revisión regulatoria y la siguiente, en la que se actualizarán los parámetros de la retribución de las empresas reguladas.
PVPC
En España, el “Precio de Venta para el Pequeño Consumidor” es el precio máximo de referencia al que podrán contratar los consumidores de hasta 10 kW de potencia contratada que deseen utilizar esta modalidad frente a una negociación bilateral con una comercializadora. Se calcula respetando el principio de suficiencia de ingresos, aditividad y de forma que no ocasione distorsiones de la competencia en el mercado. Para ello, se calcula incluyendo de forma aditiva: a) el coste de producción de energía eléctrica, b) los peajes de acceso y cargos que correspondan, y c) el coste regulado de gestión comercial. Es decir, recoge los mismos costes que tendría cualquier comercializador en el mercado libre.
Quebranto
Daño o pérdida sufrida por una empresa debido a situaciones económicas coyunturales adversas o mala administración.
PER (Ratio precio beneficio)
Es la relación entre el precio de mercado de una acción y el beneficio por acción de la empresa. Para calcularlo se divide el precio de mercado entre el beneficio por acción (BPA) de la empresa. Ofrece una idea de lo que el mercado está dispuesto a pagar por cada euro de beneficios de la empresa: un PER alto puede indicar que las acciones están sobrevaloradas o que los inversores esperan altos crecimientos en los beneficios. Un PER bajo podría sugerir infravaloración o un potencial riesgo asociado a la empresa.
Plusvalía
Incremento de valor que recibe un inversor. Se calcula como la diferencia entre el precio de venta y el precio de compra del activo (real o financiero) que se haya adquirido.
Poder de mercado
Capacidad de un vendedor o grupo de vendedores (o de un consumidor o grupo de consumidores) para influir en el precio, la calidad o las condiciones de comercialización (cláusulas contractuales) de un producto o servicio sin sufrir grandes costes. Un mercado perfectamente competitivo es aquél en el que ningún vendedor o comprador tiene poder de mercado.
Posición dominante
Se dice que una empresa tiene posición de dominio en un mercado cuando es capaz de actuar de manera independiente de sus competidores, proveedores, distribuidores, e incluso del consumidor final e influir en el precio del mercado. A diferencia del monopolio, una empresa dominante se enfrenta a pequeños competidores. Una elevada cuota de mercado es el principal indicador de posición de dominio, pero han de tenerse en cuenta además otras variables como acceso a los avances tecnológicos, acceso privilegiado a recursos o financiación, poder del comprador, economías de escala y alcance, barreras a la entrada, diferenciación del producto, si existe o no competencia potencial, etc.
Prima de emisión
Diferencia entre el precio de emisión de una acción y su valor nominal. Su propósito, en el caso de una ampliación de capital, es evitar la dilución de las reservas en justicia con los antiguos accionistas.
Prima de riesgo
Aumento en la rentabilidad exigida por invertir en un activo con riesgo en comparación con la rentabilidad asociada a invertir en un activo sin riesgo (o activo seguro).
Privatización
Proceso por el cual una empresa pública se convierte en privada. Este tipo de procesos no sólo representa un cambio en la propiedad de la empresa sino, sobre todo, en la forma de gestión.
Rating
Calificación realizada por una agencia especializada e independiente que valora y analiza un valor negociable o una empresa para determinar el riesgo y capacidad financiera del emisor para hacer frente a las obligaciones de pago derivadas de las emisiones realizadas.
Red Eléctrica (REE)
Transportista único y operador del sistema eléctrico español.
Regulación
Intervención del Estado (o de un regulador) para alterar el comportamiento de los agentes de un mercado mediante la promulgación de directrices o de reglas coactivas que estipulan aspectos de la producción, la entrada o el precio a los que un bien es adquirido y vendido. Incluye instrumentos tales como los subsidios, las cuotas, los derechos de propiedad y la aplicación de reglas especificas de funcionamiento. Uno de los objetivos de la regulación es aumentar el bienestar social o evitar la pérdida del mismo asociada, por ejemplo, a la existencia de fallos de mercado.
Regulación “cost-plus”
Forma de retribución de empresas reguladas por el que éstas son retribuidas a través de tarifas que se fijan para asegurar la cobertura de todos los costes incurridos, incluyendo una retribución del capital comparable con la rentabilidad obtenida por otros sectores con un nivel de riesgo similar.
Regulación “incentive-based”
Forma de regulación de la retribución de empresa reguladas centrada en los incentivos a la eficiencia por delante de la estricta cobertura de los costes incurridos.
Riesgo moral
Situación en la que la existencia de un contrato modificará el comportamiento de una o ambas partes contratadas. Un ejemplo es el caso de un individuo que contrata un seguro de accidentes para automóvil “a todo riesgo” y, a partir de ese momento, toma menos precauciones contra accidentes.
Rivalidad en el consumo
Hay rivalidad en el consumo de un bien cuando el hecho de que esté disponible para un individuo impide que lo esté para los demás.
ROA (“Return on Assets”)
Rentabilidad sobre activos totales. Se calcula dividiendo el beneficio después de impuestos entre el valor neto contable de todos los activos de la empresa. Es una medida de la rentabilidad de la empresa independientemente de la forma de financiación del activo.
ROE (“Return on Equity”)
Rentabilidad sobre recursos propios. Se calcula dividiendo los beneficios después de impuestos entre los recursos propios. Es una medida de las ganancias de la empresa por cada unidad monetaria invertida en fondos propios.
Servicio público
Un servicio se considera como público cuando su finalidad es atender una necesidad de la sociedad en su conjunto. Por ello, el servicio público suele ser prestado por el Estado, aunque, para incrementar la eficiencia, el servicio público también puede ser ofrecido por una empresa privada mediante la figura de la concesión administrativa. En este caso, las condiciones de dicho servicio se encuentran sujetas al control y la regulación de las autoridades. La distribución de electricidad, el suministro de agua potable, la recogida de residuos y el transporte son algunos ejemplos de servicios públicos.
Servicio universal
Conjunto definido de servicios con una calidad determinada, que ha de ser accesibles a todos los potenciales usuarios con independencia de su localización geográfica y a un precio asequible, que deben prestar obligatoriamente las empresas titulares de servicios públicos de interés general. El concepto de servicio universal ha sido desarrollado por las instituciones de la Unión Europea para determinados servicios, como son las telecomunicaciones, el servicio postal y la electricidad.
Servicio de interés económico general
Los servicios de interés económico general (SIEG) son actividades de servicio comercial que cumplen misiones de interés general y que están sujetas a obligaciones específicas de servicio público. Entre ellos figuran las redes de transporte, energía, comunicación y los servicios postales. Las normas de libre mercado y de competencia se aplican a las empresas responsables de gestionar los SIEG sólo mientras dichas normas no impidan que cumplan con sus tareas al servicio del interés general.
Subasta
Procedimiento de venta donde los interesados compiten entre sí para adjudicarse el bien o servicio a ser subastado. Su objetivo es maximizar las ganancias de la venta induciendo a que los compradores revelen la valoración que tienen del bien o servicio a ser subastado. Una subasta se organiza a través de un conjunto de reglas que determinan la forma en la cual los demandantes o compradores interactúan entre sí con el fin de adquirir el producto subastado, con lo que existen distintos tipos de subasta: inglesa o de precio ascendente, holandesa o de precio descendente, de sobre cerrado a primer/segundo precio. Además, se distingue entre subastas de valor privado (el valor que ofrece cada postor es el que precio que pagará si gana la puja) y subasta de valor común (el valor del artículo será el mismo para cualquiera de los postores).
Tarifas aditivas
Aquéllas que se calculan mediante la suma o adición de todos los costes implicados en la producción y entrega de un bien o servicio. En el caso de tarifas de acceso eléctricas, para ser aditivas, éstas deben incluir los costes de transporte, costes de distribución y costes de operación y gestión de las redes. De existir tarifas integrales de electricidad aditivas, éstas deben recoger además los costes de generación y operación del mercado, pagos por capacidad, pérdidas en redes, costes derivados de la gestión comercial, así como impuestos (y otros costes regulados de existir). El PVPC es un ejemplo de tarifa integral aditiva.
Tarifas de acceso (peajes)
Precios de acceso a la red eléctrica, determinados por el regulador, que cubren los costes de transporte y distribución de la energía eléctrica hasta los puntos de consumo.
Tarifas binomiales o en dos partes
Una tarifa de dos partes es una forma de discriminación de precios en la que el precio de un producto o servicio se compone de dos elementos: una cuota fija que da derecho a consumir el producto, y un cargo por unidad consumida.
Cuando las empresas producen con economías a escala (costes medios decrecientes y, por tanto, costes marginales inferiores a costes medios) fijar el precio igual al coste marginal lleva a pérdidas, mientras que fijar el precio igual al coste medio (superior al coste marginal) lleva a una asignación ineficiente. En esta situación, las tarifas en dos partes (un término fijo y otro variable) permiten minimizar la ineficiencia y garantizar la suficiencia; para ello, igualan el término variable al coste marginal (en euros por unidad de producto) y el término fijo al coste unitario que resulte necesario para cubrir los costes totales (en euros por cliente).
Tarifas reguladas
frente a la fijación de precios de forma libre por oferentes y demandantes, las tarifas reguladas son precios establecidos regulatoriamente que los consumidores y usuarios deben pagar por el consumo o uso de un bien, y que se establecen administrativamente para garantizar que son asequibles para determinados consumidores vulnerables y/o prevenir fallos del mercado.
Tasa de descuento
Coeficiente matemático utilizado para obtener el valor presente de unos flujos de ingresos futuros.
TIEPI
Es el tiempo de interrupción equivalente de la potencia instalada en media tensión (1 kV<V≤36 kV). Se calcula utilizando la siguiente expresión:

Siendo:
PIj = potencia instalada en centros de transformación en media/baja tensión, más potencia contratada en media tensión en la red de distribución, afectadas por la interrupción j (medida en kVA)
Hj = tiempo de interrupción del suministro j que afecta a la potencia PIj (medido en horas)
∑PI= potencia total instalada en centros de transformación en media/baja tensión, más potencia total contratada en media tensión en la red de distribución (medida en kVA)
K = número total de interrupciones de más de 3 minutos durante el periodo de tiempo en el que se calcule el TIEPI
Tipo de interés
Es el precio del dinero. Es decir, el precio que cobra un acreedor por prestar, y paga un deudor por recibir una cierta cantidad de dinero durante un determinado periodo de tiempo. En general, se expresa como un porcentaje y se refiere a un periodo de tiempo.
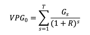
Valor actual o valor presente
técnica que permite comparar el volumen de una inversión con los flujos de caja futuros a los que ésta dará lugar, teniendo en cuenta el valor temporal del dinero (es decir, la capacidad del dinero de ofrecer una rentabilidad a través del mercado financiero). El valor presente en t=0 de los flujos de caja {G1, G2, G3, … y GT} generados a lo largo de un periodo de T años se obtiene a través de la expresión siguiente:

siendo R la denominada tasa de descuento.
Valor del inmovilizado
Valor de las inversiones permanentes de la empresa, que constituyen los bienes y derechos que no están destinados a la venta, sino que fueron adquiridos o creados para el desarrollo de la actividad de la compañía: inmovilizado material, inmaterial y financiero, y gastos de establecimiento.
Valor futuro
Valor que una inversión alcanzará en el futuro, considerando una tasa de interés y un período de tiempo determinados. Es una estimación del valor que esa inversión crecerá a lo largo del tiempo.
Valor nominal
Valor asignado a un activo en el momento de su emisión. No representa ni su valor de mercado ni su valor real.
Valor residual
Valor de un activo al final de su vida útil, después de haber sido depreciado.
Varianza
Medida de dispersión que representa la variabilidad de una serie de datos respecto a su media. Es decir, nos dice lo alejados que están los valores entre sí respecto del valor promedio. Matemáticamente, se calcula como la suma de los cuadrados de las desviaciones de una variable con respecto a la media del conjunto.
Ventaja competitiva
Condición favorable que disfruta aquella empresa capaz de realizar sus actividades de manera más eficiente que sus competidores (lo que se refleja en un coste medio inferior) o al realizarlas de una forma particular que le permite crear un mayor valor para los compradores. Para ser realmente efectiva, la ventaja competitiva debe ser única o difícil de imitar, posible de mantener y netamente superior a la competencia. Existe ventaja competitiva en los casos de monopolios legales, concesiones, patentes, marcas, etc.
APÉNDICE. Métodos de amortización de una inversión comparados.
En este Apéndice se describen y comparan los sistemas alemán, francés y americano de amortización de una inversión utilizando un ejemplo en el que el valor de la inversión se eleva a 1.000 euros y tiene lugar en el año t=0. El activo tiene una vida útil de 10 años y el tipo de interés medio que refleja el coste de financiación de la inversión es R=5% fijo a lo largo de todo el periodo.
Sistema alemán
Características:
En el sistema alemán, la amortización anual es contante a lo largo del tiempo. Su valor se obtiene simplemente dividiendo el valor de la Inversión (Inv) entre el número de años del periodo que refleja la vida útil del activo en el que se ha invertido (T):
![]()
El coste de financiación (CF) se obtiene, en cada año s, multiplicando la inversión neta (es decir, la inversión bruta menos la amortización acumulada) por el tipo de interés (Rs).

El valor del tipo de interés (Rs) se debe aproximar utilizando el tipo medio anual de los pasivos emitidos por la Administración pública en el periodo en el que se acometió la inversión. Si se trata de pasivos de renta variable, el tipo de interés estará normalmente indiciado al Euribor.
En consecuencia, el coste financiero de la deuda (CF) irá cambiando a lo largo del tiempo que dure la inversión en función del ritmo al que ésta se amortice y de la evolución de los tipos de interés.
Ejemplo:
La tabla y gráfico siguientes reproducen, en el caso del ejemplo, la evolución de la inversión neta, de la amortización, del coste financiero y de la anualidad de la inversión a lo largo del periodo de vida de la inversión.


Se observa que la amortización es contante a lo largo del tiempo. Por su parte, el coste financiero es decreciente (dado que la inversión neta va reduciéndose a medida que se va amortizando y asumiendo que el tipo de interés es fijo a lo largo del tiempo). En consecuencia, la anualidad de la inversión también decrece en el tiempo.
Sistema francés
Características:
En el sistema francés, la anualidad (suma de amortización e intereses) es constante a lo largo del tiempo. Su valor se obtiene igualando el valor de la inversión (Inv) al valor presente de la anualidad (AI) utilizando como tasa de descuento el coste del capital con el que la Administración pública en cuestión haya financiado la inversión (R). Es decir:
![]()
Las matemáticas financieras permiten demostrar que el valor de la anualidad (AI) se puede obtener a partir de la ecuación 3, utilizando la siguiente expresión:

De nuevo, el coste de financiación (CF) se obtiene, cada año, multiplicando la inversión neta (es decir, la inversión bruta menos la amortización acumulada) por el tipo de interés (R). Asimismo, el coste financiero (CF) irá cambiando a lo largo del tiempo que dure la inversión en función del ritmo al que ésta se amortice y de la evolución de los tipos de interés.
Ejemplo:
La tabla y gráfico siguientes reproducen, en el caso del ejemplo, la evolución de la inversión neta, de la amortización, del coste financiero y de la anualidad de la inversión a lo largo del periodo de vida de la inversión.


Se observa que, en este caso, la anualidad de la inversión es contante a lo largo del tiempo, mientras que el coste financiero es decreciente y la amortización crece en el tiempo.
Sistema americano
Características:
En el sistema americano, toda la amortización se produce al final del periodo. Su valor coincide con el valor de la inversión.
El coste de financiación (CF) se obtiene, en cada año, multiplicando la inversión neta (que, excepto en el último año, coincide con la inversión bruta) por el tipo de interés (Rs).
En consecuencia, el coste financiero de la deuda (CF) será constante.
Ejemplo:
La tabla y gráfico siguientes reproducen, en el caso del ejemplo, la evolución de la inversión neta, de la amortización, del coste financiero y de la anualidad de la inversión a lo largo del periodo de vida de la inversión.


Se observa que la amortización se produce de golpe en el último año. Por su parte, el coste financiero es constante (dado que la inversión neta es igual a la bruta, excepto en el último año). En consecuencia, la anualidad de la inversión coincide con el coste financiero entre el año 1 y el 9; y, en el año 10, es igual a la suma del coste financiero más toda la amortización.
Autoproductor
• 30% de la energía eléctrica producida si la potencia de la instalación es inferior a 25 MW.
• 50% de la energía eléctrica producida si la potencia de la instalación es igual o superior a 25 MW.
Los excedentes de producción de energía eléctrica de estas instalaciones no utilizados para uso propio pueden estar acogidos al régimen especial siempre que las instalaciones de generación estén incluidas en uno de los dos grupos siguientes:
• Centrales que utilicen energías residuales procedentes de cualquier instalación, máquina o proceso industrial cuya finalidad no sea la producción de energía eléctrica.
• Centrales de cogeneración.
OTROS TÉRMINOS RELACIONADOS: Generación de energía eléctrica, Turbina, Central de cogeneración, Régimen especial.
Banda de regulación secundaría
Se habla de reserva o banda de regulación secundaria a subir o a bajar, según se trate de la potencia que puede incrementarse o reducirse, respectivamente.
Cada día, el operador del sistema determina los requerimientos de reserva secundaria que deben mantenerse, tanto a subir como a bajar, para cada periodo de programación del día siguiente, en función de la evolución temporal previsible de la demanda y de forma que se permita garantizar la fiabilidad del sistema. Ante situaciones especiales, como eventos de interés público, condiciones climatológicas adversas, paros generales, etc, puede aplicar criterios más estrictos que los habituales para garantizar la disponibilidad de la reserva necesaria.
Los productores de energía eléctrica ofertan cada día una banda de regulación para cada unidad de generación habilitada para la prestación de este servicio. Este servicio es retribuido mediante mecanismos de mercado por dos conceptos: disponibilidad (oferta de potencia a la banda de regulación secundaria) y utilización (energía realmente utilizada en esta banda).
OTROS TÉRMINOS RELACIONADOS: Equilibrio entre generación y consumo, Regulación primaria, Regulación secundaria, Regulación terciaria, Gestión de desvíos.
FICHA RELACIONADA: Mecanismos de ajuste de demanda y producción
Banda de regulación tercaria
Este servicio es de oferta obligatoria por parte de todas las unidades de generación que tienen condiciones técnicas para poder ofrecerlo. Sólo se retribuye si es utilizado por el operador del sistema y su retribución se obtiene en el mercado de energía terciaria que se celebra a última hora el día anterior al despacho.
OTROS TÉRMINOS RELACIONADOS: Equilibrio entre generación y consumo, Regulación primaria, Regulación secundaria, Regulación terciaria, Gestión de desvíos.
FICHA RELACIONADA: Mecanismos de ajuste de demanda y producción
Central de base
Por un lado, teniendo en cuenta aspectos económicos y considerando los costes fijos y variables de las diferentes tecnologías, resulta que cada una de ellas es óptima (es decir, presenta el mínimo coste total) para un cierto número de horas de funcionamiento al año. Por otro lado, no todas las tecnologías son capaces de variar su nivel de producción de forma suficientemente rápida para hacer frente a variaciones bruscas de la demanda, por ello, en algunos momentos, las tecnologías que se encargan de la producción de la energía eléctrica demandada no son las de menor coste sino aquéllas que tienen capacidad de modificar su nivel de generación adaptándose de forma flexible a las variaciones de la demanda.
Se llama centrales de base a aquéllas que están destinadas a suministrar energía eléctrica la mayor parte de las horas del año. Estas centrales suelen ser de gran potencia y entre ellas se encuentran las centrales nucleares o algunas centrales térmicas convencionales, como las de carbón y centrales de ciclo combinado. También se consideran de base las centrales hidráulicas fluyentes.
No obstante, es importante destacar que para poder clasificar una tecnología como de punta o base, hay que considerar las características propias de cada sistema eléctrico en su conjunto. Por ejemplo, en unos sistemas los ciclos combinados se utilizan como centrales de base y las centrales térmicas de carbón como de punta, mientras que hay sistemas en los que es al contrario. Esto es así porque en los sistemas eléctricos de distintos países o regiones geográficas existen diferencias en cuanto a las características técnicas y costes de las distintas tecnologías y también en el acceso a las materias primas energéticas.
OTROS TÉRMINOS RELACIONADOS: Central de punta, generación de energía eléctrica, Central térmica convencional, Central térmica de ciclo combinado, central nuclear, Central de cogeneración, Central hidráulica de embalse, Central hidráulica fluyente, Central hidráulica de bombeo, Central solar fotovoltaica, Generación eólica.
FICHA RELACIONADA: Tecnologías y costes de la generación eléctrica
Central de cogeneración
El gas natural es la energía primaria más utilizada para el funcionamiento de las centrales de cogeneración, aunque también se pueden utilizar fuentes de energía renovables como la biomasa, o residuos.
La gran ventaja de la cogeneración es su alto rendimiento energético, entendiendo por tal la energía útil total en relación a la materia prima energética utilizada.
OTROS TÉRMINOS RELACIONADOS: Generación de energía eléctrica, Turbina, Central térmica convencional, Central térmica de ciclo combinado, Central de cogeneración, Central hidráulica de embalse, Central hidráulica fluyente, Central hidráulica de bombeo, Central solar fotovoltaica, Central térmica solar, Generación eólica, Generación con biomasa.
FICHA RELACIONADA: Tecnologías y costes de la generación eléctrica
Central de punta
No obstante, es importante destacar que para poder clasificar una tecnología como de punta o base, hay que considerar las características propias de cada sistema eléctrico en su conjunto. Por ejemplo, en unos sistemas los ciclos combinados se utilizan como centrales de base y las centrales térmicas de carbón como de punta, mientras que hay sistemas en los que es al contrario. Esto es así porque en los sistemas eléctricos de distintos países o regiones geográficas existen diferencias en cuanto a las características técnicas y costes de las distintas tecnologías y también en el acceso a las materias primas energéticas,
OTROS TÉRMINOS RELACIONADOS: Central de punta, generación de energía eléctrica, Central térmica convencional, Central térmica de ciclo combinado, central nuclear, Central de cogeneración, Central hidráulica de embalse, Central hidráulica fluyente, Central hidráulica de bombeo, Central solar fotovoltaica, generación eólica.
FICHA RELACIONADA: Tecnologías y costes de la generación eléctrica
Central hidráulica de bombeo
Estas centrales suelen elevar el agua en las horas de menor demanda eléctrica (horas valle) y suelen producir energía eléctrica en las horas de mayor demanda (horas punta). Esta forma de actuación puede interpretarse como un método de almacenamiento de energía que ayuda a conseguir el equilibrio entre generación y consumo de energía eléctrica en el sistema.
Entre las centrales de bombeo destacan aquéllas que son de bombeo puro, es decir que el agua turbinada proviene esencialmente del agua previamente bombeada, o centrales reversibles, que son aquéllas que pueden elevar el agua y también producir energía eléctrica.
En España existen instalaciones hidráulicas de bombeo con potencias de hasta 600 MW.
OTROS TÉRMINOS RELACIONADOS: Generación de energía eléctrica, Turbina, Central térmica convencional, Central térmica de ciclo combinado, Central nuclear, Central de cogeneración, Central hidráulica de embalse, Central hidráulica fluyente, Central solar fotovoltaica, Central térmica solar, Generación eólica, Generación con biomasa.
PREGUNTA FRECUENTE RELACIONADA: ¿Por qué se dice que la energía eléctrica no es almacenable?
FICHA RELACIONADA: Tecnologías y costes de la generación eléctrica
Central hidráulica de embalse
Las centrales hidráulicas de embalse se caracterizan por disponer de un embalse para almacenar agua en grandes cantidades y poder ir graduando el caudal que pasa por la turbina. Gracias al embalse, es posible generar energía en cualquier época del año si se dispone de suficiente agua almacenada. Sin embargo, la inversión necesaria para la construcción de este tipo de infraestructuras es significativamente mayor que la requerida para las centrales hidráulicas fluyentes.
La energía hidroeléctrica se caracteriza por ser una fuente energética no contaminante y por poder incrementar o reducir la producción de forma muy flexible y muy rápida. Sin embargo, la construcción de este tipo de centrales en ocasiones sí puede representar un importante impacto ambiental.
Las centrales hidroeléctricas de embalse en España tienen potencias comprendidas entre unos pocos MW y los 915 MW de la Central J.M. Oriol en el río Tajo, en Cáceres. La central hidroeléctrica más grande del mundo es la Presa de las Tres Gargantas, en China, con una potencia de 22.500 MW.
OTROS TÉRMINOS RELACIONADOS: Generación de energía eléctrica, Turbina, Central térmica convencional, Central térmica de ciclo combinado, Central nuclear, Central de cogeneración, Central hidráulica fluyente, Central hidráulica de bombeo, Central solar fotovoltaica, Central térmica solar, Generación eólica, Generación con biomasa.
FICHA RELACIONADA: Tecnologías y costes de la generación eléctrica
Central hidráulica fluyente
La potencia alcanzada por este tipo de centrales es muy inferior a la que puede obtenerse a través de una central hidráulica de embalse, si bien el coste de la infraestructura necesaria es también significativamente menor.
OTROS TÉRMINOS RELACIONADOS: Generación de energía eléctrica, Turbina, Central térmica convencional, Central térmica de ciclo combinado, Central nuclear, Central de cogeneración, Central hidráulica de embalse, Central hidráulica de bombeo, Central solar fotovoltaica, Central térmica solar, Generación eólica, Generación con biomasa.
FICHA RELACIONADA: Tecnologías y costes de la generación eléctrica
Central nuclear
El arranque y las paradas de las centrales nucleares deben ser programados con días de antelación, por ello, su capacidad de variar el nivel de producción en el corto plazo es mucho más limitado que en otras tecnologías.
Las centrales nucleares no producen gases tóxicos durante su funcionamiento normal y tienen, como único gas emitido, el vapor de agua proveniente de su sistema de refrigeración; aunque sí generan residuos radiactivos que deben ser tratados de forma segura. La potencia de una unidad de generación puede alcanzar los 1000 MW.
OTROS TÉRMINOS RELACIONADOS: Generación de energía eléctrica, Turbina, Central térmica convencional,Central térmica de ciclo combinado, central de cogeneración, Central hidráulica de embalse, Central hidráulica fluyente, Central hidráulica de bombeo, Central solar fotovoltaica, Central térmica solar, Generación eólica, Generación con biomasa.
FICHA RELACIONADA: Tecnologías y costes de la generación eléctrica
Central solar fotovoltaica
La generación de energía solar fotovoltaica no provoca la emisión de ningún tipo de contaminante aunque requiere de grandes superficies de terreno. Sin embargo, sus costes de inversión, aunque decrecientes merced a la producción industrial en serie y a las mejoras tecnológicas, son todavía relativamente elevados. Las potencias alcanzadas en las instalaciones fotovoltaicas conectadas al sistema eléctrico son de hasta varias decenas de MW
OTROS TÉRMINOS RELACIONADOS: Generación de energía eléctrica, Turbina, Central térmica convencional, Central térmica de ciclo combinado, Central nuclear, Central de cogeneración, Central hidráulica de embalse, Central hidráulica fluyente, Central hidráulica de bombeo, Central térmica solar, Generación eólica, Generación con biomasa.
FICHA RELACIONADA: Tecnologías y costes de la generación eléctrica
Central térmica convencional
Las centrales térmicas convencionales representan en la actualidad una forma de producción de energía de la que sería muy difícil prescindir. Sin embargo, su utilización presenta algunos inconvenientes dado que tienen un gran impacto ambiental por la emisión de gases contaminantes (mayoritariamente CO2) y partículas a la atmósfera (especialmente en el caso de las centrales de carbón y fuelóleo).
Las centrales de gas natural y fuelóleo pueden modificar su nivel de producción de energía eléctrica con cierta rapidez, mientras que las de carbón son más rígidas.
La potencia típica en una central térmica de fuelóleo está entorno a los 800 MW. En las de carbón se alcanzan potencias de hasta 1.400 MW.
OTROS TÉRMINOS RELACIONADOS: Generación de energía eléctrica, Central térmica de ciclo combinado, Central nuclear, Central de cogeneración, Central hidráulica de embalse, Central hidráulica fluyente, Central hidráulica de bombeo, Central solar fotovoltaica, Central térmica solar, Generación eólica, Generación con biomasa.
FICHA RELACIONADA: Tecnologías y costes de la generación eléctrica
Central térmica de ciclo combinado
• En el primero de los ciclos, en una cámara de combustión se quema un combustible, habitualmente gas natural, mezclado con aire. Los gases procedentes de esta combustión, a muy alta temperatura y presión, se hacen pasar a través de una turbina de gas produciendo un movimiento de rotación en el eje de la turbina. Este movimiento de rotación es aprovechado por un generador eléctrico para producir energía eléctrica.
• En la segunda etapa, los gases de escape que, después de haber pasado por la turbina de gas se encuentran todavía a temperaturas muy altas (alrededor de 600 ºC), se utilizan para aportar calor a una caldera con agua. El vapor así producido se hace pasar ahora por una turbina de vapor produciendo de nuevo un movimiento de rotación en el eje de la turbina que es transformado por un generador eléctrico en energía eléctrica.
Aproximadamente dos tercios de la energía eléctrica producida en una central de ciclo combinado se generan en la primera de las etapas descritas. El tercio restante se obtiene en la segunda etapa. En conjunto, el proceso tiene una alta eficiencia y es posible obtener rendimientos elevados de forma que, para la misma cantidad de energía eléctrica generada, el consumo de combustible en una central de ciclo combinado es aproximadamente un 35% inferior al consumo de combustible de una central térmica convencional.
Por otra parte, aunque las centrales de ciclo combinado son contaminantes, como todas las centrales de producción de electricidad por quema de combustible fósil, sus emisiones de CO2 por unidad de energía producida son menores que las de las centrales térmicas convencionales y sus emisiones de NOX y SO2 son insignificantes.
Otra ventaja de esta tecnología es que las centrales de ciclo combinado pueden construirse en un periodo relativamente rápido (inferior a dos años sin contar con el tiempo necesario para su tramitación y diseño) y con unos costes de inversión que pueden considerarse moderados.
Estas características, unidas a la necesidad de abastecer una demanda eléctrica creciente, explican el gran incremento experimentado durante los últimos años por este tipo de tecnología en España. El principal inconveniente que presenta es la dependencia exterior que provoca, ya que el gas natural no se produce dentro de nuestras fronteras.
La potencia de este tipo de centrales es muy variable, con un rango orientativo que va desde los 150 MW hasta grandes instalaciones de algunos miles de MW.
OTROS TÉRMINOS RELACIONADOS: Generación de energía eléctrica, Turbina, Central térmica convencional, Central nuclear, Central de cogeneración, Central hidráulica de embalse, Central hidráulica fluyente, Central hidráulica de bombeo, Central solar fotovoltaica, Central térmica solar, Generación eólica, Generación con biomasa.
FICHA RELACIONADA: Tecnologías y costes de la generación eléctrica
Central térmica solar
La captación y concentración de los rayos solares puede realizarse por medio de espejos con orientación automática que apuntan a una torre central donde se calienta el fluido. En otros casos, se utilizan mecanismos más pequeños de geometría parabólica que concentran el calor en el foco de la parábola.
La potencia de estas centrales puede superar los 50 MW aunque existen proyectos para construir centrales que permitirán alcanzar valores significativamente superiores. La gran ventaja de esta tecnología de generación de energía eléctrica es que no produce ningún tipo de emisiones contaminantes si bien requiere de la utilización de grandes superficies de terreno para la instalación de los dispositivos captadores de radiación solar. Además, aunque sus costes de inversión son muy elevados, se están abaratando progresivamente. Otro factor a tener en cuenta es que su periodo de construcción es muy breve, de solamente unos meses.
OTROS TÉRMINOS RELACIONADOS: Generación de energía eléctrica, Turbina, Central térmica convencional, Central térmica de ciclo combinado, Central nuclear, Central de cogeneración, Central hidráulica de embalse, Central hidráulica fluyente, Central hidráulica de bombeo, Central solar fotovoltaica, generación eólica, Generación con biomasa.
FICHA RELACIONADA: Tecnologías y costes de la generación eléctrica
Distribución de energía eléctrica
La distribución de energía se realiza habitualmente en niveles de tensión inferiores a los utilizados en el transporte puesto que la energía transmitida y las distancias a las que se transmite son menores. Existen, además, motivos de seguridad que obligan a reducir la tensión a medida que las instalaciones se acercan a los consumidores.
Del mismo modo que el transporte, la actividad de distribución de energía eléctrica presenta características que la conforman como monopolio natural, esto es, que resulta más eficiente que la actividad la desarrolle una única empresa, en lugar de varias empresas en competencia, ya que carece de sentido económico duplicar redes, es decir, construir varias redes de distribución por distintas empresas para suministrar energía a los consumidores.
OTROS TÉRMINOS RELACIONADOS: Red de transporte, Transporte de energía eléctrica, Red de distribución, Red mallada, Red radial, Monopolio natural.
PREGUNTA FRECUENTE RELACIONADA: ¿Por qué el transporte de energía eléctrica se realiza en alta tensión? ¿Cuánta energía eléctrica se pierde desde el generador al consumidor?
FICHA RELACIONADA: Actividades reguladas
Equilibrio entre generación y consumo
Para llevar a cabo este control, el operador del sistema debe vigilar constantemente la frecuencia de la tensión generada. Este parámetro es directamente proporcional a la velocidad de giro del eje del generador eléctrico. Cuando el consumo eléctrico aumenta, la demanda extra de energía es suministrada por el generador a través de la inercia de su movimiento rotativo y, por tanto, se reduce su velocidad de giro. Esta disminución de la velocidad de giro se refleja en una reducción proporcional de la frecuencia de la tensión generada. Al contrario, cuando la demanda de energía eléctrica disminuye, el eje del generador se acelera y se produce un incremento de la frecuencia de la tensión proporcional. Por lo tanto, las variaciones en la frecuencia son un indicador del desequilibrio entre generación y demanda en un cierto instante.
Un símil que permite entender este fenómeno podría ser el de un coche rodando por una carretera. Al llegar a una cuesta arriba (aumento de la demanda), si no se acelera (lo que en nuestro símil representaría un aumento de la generación de energía) las revoluciones del coche disminuyen y su velocidad se reduce. Por el contrario, al llegar a una cuesta abajo (disminución de la demanda), habría que dejar de acelerar para mantener la velocidad del coche.
Habitualmente, los sistemas eléctricos deben ser operados de forma que su frecuencia se mantenga en márgenes estrechos ya que, de otro modo, las cargas conectadas en el sistema pueden verse afectadas. Para conseguir tener una frecuencia prácticamente constante y, por tanto, un buen equilibrio entre la generación y la demanda, el control del sistema eléctrico se realiza en tres niveles denominados regulación primaria, regulación secundaria y regulación terciaria.
OTROS TÉRMINOS RELACIONADOS: Regulación primaria, Regulación secundaria, Regulación terciaria, Gestión de desvíos.
PREGUNTAS FRECUENTES RELACIONADAS: ¿Por qué se dice que la energía eléctrica no es almacenable? ¿Cómo varía la demanda de energía eléctrica a lo largo de un día?¿Y en una semana? ¿Y en un año?
FICHA RELACIONADA: Mecanismos de ajuste de demanda y producción
Generación con biomasa
Aunque la producción de energía eléctrica mediante biomasa genera emisiones de CO2, se considera que esta tecnología es una fuente de energía limpia, porque la biomasa se produce a través de procesos naturales, como la fotosíntesis, que transforman el dióxido de carbono de la atmósfera en productos orgánicos con valor energético. Mediante la combustión de la biomasa, se produce energía térmica y se libera de nuevo el dióxido de carbono almacenado. En términos netos puede considerarse, por tanto, que se trata de un proceso neutro en lo que a emisiones de CO2 se refiere.
Las instalaciones de producción de energía eléctrica mediante biomasa tienen potencias que están habitualmente entorno a 30-40 MW.
OTROS TÉRMINOS RELACIONADOS: Generación de energía eléctrica, Turbina, Central térmica convencional, Central térmica de ciclo combinado, central nuclear, Central de cogeneración, Central hidráulica de embalse, Central hidráulica fluyente, Central hidráulica de bombeo, Central solar fotovoltaica, Generación eólica.
FICHA RELACIONADA: Tecnologías y costes de la generación eléctrica
Generación de energía eléctrica
La forma más habitual de generación consiste en que un fluido se haga pasar a través de una turbina. Este fluido puede ser viento en el caso de los sistemas de generación eólica, agua en el caso de las centrales hidráulicas, vapor de agua generado por un proceso de calentamiento en una central térmica convencional o bien en una central nuclear, o bien, puede tratarse de los gases de escape producidos en la combustión de gas natural como ocurre en las centrales de ciclo combinado.
Al circular este fluido por la turbina, ésta está diseñada de tal modo que se produce un movimiento de rotación. Unido a su eje de rotación se encuentra acoplado un generador eléctrico que es capaz de transformar la energía mecánica del giro en energía eléctrica.
OTROS TÉRMINOS RELACIONADOS: Turbina, Central térmica convencional, Central térmica de ciclo combinado, Central nuclear, Central de cogeneración, Central hidráulica de embalse, Central hidráulica fluyente, Central hidráulica de bombeo, Central solar fotovoltaica, Central térmica solar, Generación eólica, Generación con biomasa.
Generación eólica
Aunque la potencia de cada aerogenerador no suele ser grande (hasta 2 MW en tierra y 5 MW en el mar), su agrupación en parques eólicos llega a alcanzar potencias globales significativas (varios centenares de MW).
Entre las ventajas de esta tecnología cabe citar que no produce ninguna emisión contaminante y que no requiere importar combustibles, con lo que se evita la dependencia energética. Su principal inconveniente técnico es que, al depender la energía eléctrica generada del viento, no es posible controlar el nivel de producción. A ello se une su relativamente elevado coste de inversión.
OTROS TÉRMINOS RELACIONADOS: Generación de energía eléctrica, Turbina, Central térmica convencional, Central térmica de ciclo combinado, Central nuclear, Central de cogeneración, Central hidráulica de embalse, Central hidráulica fluyente, Central hidráulica de bombeo, Central solar fotovoltaica, Generación con biomasa.
FICHA RELACIONADA: Tecnologías y costes de la generación eléctrica
Gestión de desvios
A lo largo de cada día se celebran seis sesiones del mercado intradiario en las que se resuelven las desviaciones entre los valores casados el día anterior (en el mercado diario) y los previstos según la información actualizada que se vaya obteniendo a lo largo del día en curso, teniendo en cuenta variaciones en la disponibilidad de unidades de generación o en la previsión de la demanda. Si, una vez cerrada una de estas seis sesiones del mercado intradiario y antes de la hora de inicio del horizonte de programación de la siguiente sesión, se previesen desvíos superiores a 300 MW entre la generación y el consumo, el operador del sistema puede valorar la necesidad de convocar el mercado de desvíos generación-consumo. En ese caso, el operador del sistema debe comunicar los requerimientos de energía a subir (es decir, a incrementar) o a bajar (reducir) para resolver el desvío. Los titulares de unidades de generación o bombeo disponen de 30 minutos para presentar sus ofertas de energía disponible para resolver el desvío.
El sobrecoste originado por la modificación del programa de generación o de consumo por bombeo será repercutido a los agentes causantes del mismo. Así, se penaliza a los agentes que en el lado de la demanda o en el lado de la oferta tuvieron un desvío en el mismo sentido que el sistema (contribuyendo, por tanto, al coste de los servicios necesarios para resolverlo). Los agentes que se desviaron en contra del sistema, por el contrario, no son penalizados.
OTROS TÉRMINOS RELACIONADOS: Equilibrio entre generación y consumo, Regulación primaria, Regulación secundaria, Regulación terciaria.
FICHA RELACIONADA: Formación de precios en el mercado diario de electricidad, Mecanismos de ajuste de demanda y producción
Gestión de restricciones
El operador del sistema debe analizar la viabilidad técnica del programa e identificar estas restricciones. Para ello, realizará estudios y simulaciones del sistema que permitan detectar cualquier limitación derivada de la situación de la red de transporte o del sistema que pudiese impedir que el suministro de energía eléctrica se realice en condiciones de seguridad, calidad y fiabilidad. Algunas de las restricciones que pueden darse son: congestiones en las interconexiones con los países vecinos, congestión en la red de transporte debida a un exceso o un déficit de generación en una zona, insuficiente banda de regulación secundaria o banda de regulación terciaria, etc.
Si para resolver las restricciones técnicas identificadas se requiere incrementar la generación de energía programada inicialmente, el operador del sistema utilizará las ofertas de venta de energía presentadas al proceso de resolución de restricciones técnicas por las unidades de generación. La resolución de restricciones que requieran una reducción de la energía generada se realiza sin utilización de ofertas, mediante reducciones del programa de generación previsto.
OTROS TÉRMINOS RELACIONADOS: Equilibrio entre generación y consumo, Regulación primaria, Regulación secundaria, Regulación terciaria.
FICHA RELACIONADA: Formación de precios en el mercado diario de electricidad, Mecanismos de ajuste de demanda y producción
Potencia instalada
Esto no significa necesariamente que el generador tenga capacidad para producir continuamente dicho valor de potencia. Por ejemplo, en el caso de los sistemas de generación eólica, la potencia instalada de un aerogenerador puede estar entorno a 2 MW, sin embargo sólo será posible generar dicha potencia en el caso de que la velocidad de viento sea aquélla para la cual se ha dimensionado la máquina. Si la velocidad del viento es inferior, aunque la potencia instalada sean 2 MW, la potencia generada será un valor menor.
OTROS TÉRMINOS RELACIONADOS: Potencia neta.
PREGUNTA FRECUENTE RELACIONADA: ¿Cuál es la diferencia entre potencia y energía?
Potencia neta
Se llama potencia neta a la potencia máxima que puede alcanzar una unidad de producción medida a la salida de la central, es decir, una vez deducida la potencia absorbida por los consumos internos de la instalación de la central. Por lo tanto, la potencia neta de una unidad de generación es siempre menor o igual a su potencia instalada.
OTROS TÉRMINOS RELACIONADOS: Potencia instalada.
PREGUNTA FRECUENTE RELACIONADA: ¿Cuál es la diferencia entre potencia y energía?
Red de distribución
OTROS TÉRMINOS RELACIONADOS: Red de transporte, Transporte de energía eléctrica, Distribución de energía eléctrica, Red mallada, Red radial.
Red de transporte
En España, los elementos que la legislación vigente considera englobados dentro de la red de transporte son el conjunto de líneas, transformadores y otros elementos eléctricos cuya tensión es igual o superior a 220.000 V.
La legislación española considera que también forman parte de la red de transporte todas las instalaciones, cualquiera que sea su nivel de tensión, que sirven para conectar la red española con la de otros países (interconexiones internacionales), la red peninsular con la de los territorios españoles extrapeninsulares y las redes insulares entre sí.
La razón de la utilización de tensiones muy elevadas en la red de transporte es que, de este modo, se pueden reducir las pérdidas producidas por calentamiento en los elementos de la red sin necesidad de aumentar la sección de los conductores (lo que encarecería la inversión).
OTROS TÉRMINOS RELACIONADOS: Transporte de energía eléctrica, Distribución de energía eléctrica, Red de distribución, Red mallada.
PREGUNTAS FRECUENTES RELACIONADAS: ¿Por qué el transporte de energía eléctrica se realiza en alta tensión? ¿Cuánta energía eléctrica se pierde desde el generador al consumidor?
Red mallada
Utilizando un símil, la forma de una red eléctrica mallada puede ser comparada con la de una gran tela de araña, con múltiples uniones entre los diferentes hilos.
La red de transporte tiene, típicamente, estructura de red mallada.
OTROS TÉRMINOS RELACIONADOS: Red de transporte, Red radial.
PREGUNTA FRECUENTE RELACIONADA: ¿Puede saberse cómo o dónde se ha producido la energía eléctrica que llega a un consumidor?
Red radial
Esta configuración de la red es característica de las redes de distribución, especialmente en zonas rurales. En los núcleos urbanos, con el fin de garantizar una mejor fiabilidad del servicio, la estructura suele ser en forma de red mallada.
OTROS TÉRMINOS RELACIONADOS: Red de distribución, Red mallada.
PREGUNTA FRECUENTE RELACIONADA: ¿Puede saberse cómo o dónde se ha producido la energía eléctrica que llega a un consumidor?
Régimen especial
– Utilice la cogeneración u otras formas de producción de electricidad asociadas a actividades no eléctricas siempre que tengan un alto rendimiento energético
– Cuando se utilice como energía primaria alguna energía renovable no consumible, biomasa o algún tipo de biocarburante.
– Cuando se utilicen como energía primaria residuos no renovables.
– Cuando la producción de energía eléctrica proceda de instalaciones de tratamiento y reducción de los residuos de los sectores agrícola, ganadero y de servicios. En este caso, se exige una potencia instalada igual o inferior a 25 MW y que supongan un alto rendimiento energético.
La producción de energía eléctrica en régimen especial se rige por un régimen retributivo diferenciado. Los productores en régimen especial tienen derecho a incorporar su producción al sistema eléctrico (bien sea a través de la red de transporte o de distribución) percibiendo por ella una retribución, ya sea en forma de tarifa o bien de prima que complementa el precio del mercado. El Gobierno establece tanto las tarifas como las primas, que dependen del tipo y de las características de cada instalación (energía primaria utilizada, potencia, etc.).
OTROS TÉRMINOS RELACIONADOS: Generación de energía eléctrica, Régimen ordinario.
Régimen ordinario
Las instalaciones productoras del régimen ordinario no tienen derecho a percibir una retribución por su producción, sino que su retribución viene derivada de su participación en el mercado eléctrico.
OTROS TÉRMINOS RELACIONADOS: Generación de energía eléctrica, Régimen especial.
Regulación primaria
La regulación primaria se realiza en cada unidad de generación (es decir, cada grupo turbina-generador) mediante un sistema regulador de velocidad que actúa de forma automática. Cuando la demanda aumenta, la energía cinética acumulada por la rotación de las turbinas y generadores disminuye para compensar ese aumento de carga. Esto se traduce en una disminución de la velocidad del generador. Al detectarla, el regulador de velocidad actúa sobre la admisión de la turbina permitiendo que circule por ella un mayor caudal del fluido que la mueve (vapor, agua, etc.). De este modo, se incrementa la velocidad de giro del eje y, con ello, la energía generada. De forma análoga, cuando la demanda de los consumidores disminuye, la turbina se acelera, y el regulador reduce la velocidad de giro y la energía generada.
La regulación primaria constituye un mecanismo de control automático y de actuación casi instantánea (hasta 30 segundos). En la normativa española, la regulación primaria es un servicio que obligatoriamente deben prestar los generadores y que no percibe una retribución específica.
Además de este nivel de control, existen otros dos que son la regulación secundaria y la regulación terciaria.
OTROS TÉRMINOS RELACIONADOS: Equilibrio entre generación y consumo, Regulación secundaria, Regulación terciaria, Gestión de desvíos.
FICHA RELACIONADA: Mecanismos de ajuste de demanda y producción
Regulación secundaria
Para realizar este control, el sistema eléctrico se divide en zonas o áreas de control, formadas por agrupaciones de unidades de generación que deben cumplir la responsabilidad de ser capaces de absorber las variaciones de demanda dentro de su área mediante un sistema automático. La regulación secundaria se basa en el control que ejerce el operador del sistema vigilando la frecuencia de la tensión suministrada y enviando periódicamente señales de elevación o reducción de la potencia de cada una de las unidades generadoras controladas.
El comienzo de la actuación de la regulación secundaria no debe demorarse más allá de 30 segundos y debe tener la capacidad de mantenerse durante un tiempo de 15 minutos hasta que su uso neto sea sustituido por la regulación terciaria.
OTROS TÉRMINOS RELACIONADOS: Equilibrio entre generación y consumo, Regulación primaria, Regulación terciaria, Gestión de desvíos.
FICHA RELACIONADA: Mecanismos de ajuste de demanda y producción
Regulación terciaría
La regulación terciaria consiste en modificar los programas de funcionamiento de las unidades de generación y bombeo para asegurar la restitución de la banda de regulación secundaria en caso de ésta haya sido utilizada. Este mecanismo es gestionado por el operador del sistema.
OTROS TÉRMINOS RELACIONADOS: Equilibrio entre generación y consumo, Regulación primaria, Regulación secundaria, Gestión de desvíos.
FICHA RELACIONADA: Mecanismos de ajuste de demanda y producción
Transporte de energía eléctrica
El transporte de la energía eléctrica se realiza a través de una red constituida por un gran número de líneas interconectadas entre sí que constituyen la red de transporte.
Por sus características, la actividad de transporte de energía eléctrica constituye lo que en economía se denomina monopolio natural, esto es, que resulta más eficiente que la actividad la desarrolle una única empresa en lugar de varias empresas en competencia, ya que carece de sentido económico duplicar redes, es decir, construir varias redes de transporte por distintas empresas para suministrar energía a los consumidores.
OTROS TÉRMINOS RELACIONADOS: Red de transporte, Distribución de energía eléctrica, Red de distribución, Red mallada, Monopolio natural.
PREGUNTAS FRECUENTES RELACIONADAS: ¿Por qué el transporte de energía eléctrica se realiza en alta tensión? ¿Cuánta energía eléctrica se pierde desde el generador al consumidor?
FICHA RELACIONADA: Actividades reguladas
Turbina
Las turbinas pueden ser de diferentes tipos:
• Turbinas hidráulicas. En ellas el fluido de paso por la turbina es el agua. De acuerdo con el tamaño y ángulo de los álabes del rodete y con otros parámetros de diseño, pueden distinguirse diferentes tipos de turbina hidráulica (Turbina Pelton, Turbina Kaplan, Turbina Francis…) que son especialmente adecuados para diferentes caudales y diferentes desniveles del salto del agua.
• Turbinas de vapor. En las turbinas de vapor el fluido de trabajo es vapor de agua. Dentro de la turbina el vapor reduce su temperatura y, por tanto, su energía interna. A cambio su volumen aumenta, es decir, se expande provocando el giro del eje de la máquina.
• Turbinas de gas, son las máquinas cuyo fluido de trabajo es un gas a alta temperatura, por ejemplo, gas natural tras su combustión.
• Turbinas eólicas son las máquinas capaces de aprovechar la energía del viento y transformarla en energía mecánica por medio de la rotación de un eje. Esta energía mecánica puede ser aprovechada para moler, como ocurría en los antiguos molinos de viento, o para bombear agua, como en el caso del molino multipala. La energía mecánica puede también ser transformada en eléctrica mediante un generador.
OTROS TÉRMINOS RELACIONADOS: Generación de energía eléctrica, Central térmica convencional, Central térmica de ciclo combinado, Central nuclear, Central de cogeneración, Central hidráulica de embalse, Central hidráulica fluyente, Central hidráulica de bombeo, Central solar fotovoltaica, Central térmica solar, Generación eólica, Generación con biomasa.
Acción temprana
OTROS TERMINOS RELACIONADOS: Comercio de derechos de emisión, Derecho de emisión, Plan Nacional de Asignación (PNA), Protocolo de Kioto, Tecnologías y productos limpios, Eficiencia energética
PREGUNTAS FRECUENTE RELACIONADAS: ¿Cómo se forma el precio de los derechos de emisión? ¿Cómo deberían asignarse los derechos?
FICHA RELACIONADA: El cambio climático y el protocolo de Kioto, El esquema cap-and-trade y los incentivos a reducir emisiones,) El plan nacional de asignación de derechos de emisión (PNA).
Calidad del medio ambiente
OTROS TERMINOS RELACIONADOS: Ecosistema, Medio ambiente, Sustancias contaminantes, Daño ambiental
PREGUNTAS FRECUENTES RELACIONADAS: ¿Cuáles son los principales impactos ambientales del sector eléctrico?, ¿Cómo se regulan o controlan los impactos ambientales del sector eléctrico?
FICHA RELACIONADA: El cambio climático y el protocolo de Kioto
Cambio Climático
OTROS TERMINOS RELACIONADOS: Efecto invernadero, Combustibles fósiles, Emisiones antropogénicas, Carbono, Cambio climático, Convención Marco de las Naciones Unidas sobre el Cambio Climático (CMNUCC, en inglés United Nations Framework on Climate Change, UNFCC), Protocolo de Kioto, Panel Intergubernamental sobre Cambio Climático (IPCC)
PREGUNTAS FRECUENTES RELACIONADAS: ¿Está cambiando el clima de la tierra?, ¿Cuáles son las razones “físicas” que explican el cambio climático?¿ Cuáles son las razones “económicas” que explican el cambio climático? ¿Cuáles pueden ser las consecuencias del cambio climático?
FICHA RELACIONADA: El cambio climático y el protocolo de Kioto
Carbono
OTROS TERMINOS RELACIONADOS: Combustibles fósiles, Cambio climático, Dióxido de carbono o CO2, Metano o CH4, Clorofluorocarbonos o CFC
PREGUNTAS FRECUENTES RELACIONADAS: ¿Está cambiando el clima de la tierra?, ¿Cuáles son las razones “físicas” que explican el cambio climático? ¿Cuáles son las razones “económicas” que explican el cambio climático?
FICHA RELACIONADA: El cambio climático y el protocolo de Kioto
Certificado de reducción de emisiones (CRE)
OTROS TERMINOS RELACIONADOS: Comercio de derechos de emisión, Plan Nacional de Asignación (PNA), Externalidad ambiental, Internalización de externalidades, Unidades de reducción de emisiones, Protocolo de Kioto, Mecanismo de desarrollo limpio, Partes del anexo 1
PREGUNTAS FRECUENTES RELACIONADAS: ¿Cuál es el objetivo del comercio de emisiones?, ¿Qué instalaciones abarca el EU-ETS?, ¿Cómo funciona el comercio de emisiones? ¿Cómo funciona en la práctica el comercio de emisiones?, ¿Cómo se forma el precio de los derechos de emisión?
FICHAS RELACIONADAS: El cambio climático y el protocolo de Kioto, El esquema cap-and-trade y los incentivos a reducir emisiones, El plan nacional de asignación de derechos de emisión (PNA)
Clima
OTROS TERMINOS RELACIONADOS: Efecto invernadero, Combustibles fósiles, Emisiones antropogénicas, Carbono, Cambio climático, Convención Marco de las Naciones Unidas Sobre el Cambio Climático (CMNUCC, en inglés United Nations Framework on Climate Change, UNFCC), Protocolo de Kioto, Panel Intergubernamentel sobre Cambio Climático (IPCC)
PREGUNTAS FRECUENTES RELACIONADAS: ¿Está cambiando el clima de la tierra?, ¿Cuáles son las razones “físicas” que explican el cambio climático?¿Cuáles son las razones “económicas” que explican el cambio climático? ¿Cuáles pueden ser las consecuencias del cambio climático?
FICHA RELACIONADA: El cambio climático y el protocolo de Kioto
Clorofluorocarbonos o CFC
OTROS TERMINOS RELACIONADOS: Efecto invernadero, Combustibles fósiles, Emisiones antropogénicas, Carbono, Cambio climático, Sustancias contaminantes, Externalidad ambiental, Gases de efecto invernadero (GEI)
PREGUNTAS FRECUENTES RELACIONADAS: ¿Está cambiando el clima de la tierra?, ¿Cuáles son las razones “físicas” que explican el cambio climático? ¿Cuáles son las razones “económicas” que explican el cambio climático?
FICHA RELACIONADA: El cambio climático y el protocolo de Kioto
CO2 equivalente
OTROS TERMINOS RELACIONADOS: Efecto invernadero, Combustibles fósiles, Emisiones antropogénicas, Carbono, Cambio climático, Dióxido de carbono o CO2, Gases de efecto invernadero
PREGUNTAS FRECUENTES RELACIONADAS: ¿Está cambiando el clima de la tierra?, ¿Cuáles son las razones “físicas” que explican el cambio climático? ¿Cuáles son las razones “económicas” que explican el cambio climático?
FICHA RELACIONADA: El cambio climático y el protocolo de Kioto
Combustibles fósiles
OTROS TERMINOS RELACIONADOS: Gases de efecto Invernadero (GEI), Efecto invernadero, Emisiones antropogénicas, Carbono, Dióxido de carbono o CO2, Contribución al calentamiento global, CO2 equivalente, Metano o CH4, Óxidos de Nitrógeno o NOX, Clorofluorocarbonos o CFC, Clima, Cambio climático
PREGUNTAS FRECUENTES RELACIONADAS: ¿Está cambiando el clima de la tierra?, ¿Cuáles son las razones “físicas” que explican el cambio climático? ¿Cuáles son las razones “económicas” que explican el cambio climático?
FICHA RELACIONADA: El cambio climático y el protocolo de Kioto
Comercio de derechos de emisión
a) adoptar medidas para reducir sus propias emisiones, tales como la inversión en tecnología más eficiente o usando fuentes de energía menos intensivas en carbono,
b) comprar esos derechos en el mercado,
c) pagar la multa por las emisiones realizadas sin tener los derechos de emisión correspondientes, o
d) utilizar una combinación de estas opciones.
En la actualidad está en funcionamiento un mercado de derechos de emisión en la UE (European Union Emission Trading Scheme o EU ETS) que cubre a cerca de 10.000 instalaciones en la UE-25 entre sectores energéticos e industriales y la mitad de las emisiones europeas de CO2. Este mercado posiblemente sea el germen de un mercado internacional mundial en donde participen el resto de países con objetivos de reducción del Anexo I y quizás otros países emergentes. Es previsible que en otros países, como Estados Unidos de América, pongan en marcha uno o varios mercados de este tipo en su territorio.
OTROS TERMINOS RELACIONADOS: Mecanismo de desarrollo limpio (MDL), Mecanismo de aplicación confunta (AC), Partes del Anexo I, Derecho de emisión, Plan Nacional de Asignación (PNA), Externalidad ambiental, Internalización de externalidades, Unidades de reducción de emisiones, Certificado de Reducción de Emisiones (CRE)
PREGUNTAS FRECUENTES RELACIONADAS: ¿Cuál es el objetivo del comercio de emisiones?,¿Qué instalaciones abarca el EU-ETS? ,¿Cómo funciona el comercio de emisiones?, ¿Cómo funciona en la práctica el comercio de emisiones?, ¿Cómo se forma el precio de los derechos de emisión?
FICHAS RELACIONADAS: El cambio climático y el protocolo de Kioto, El esquema cap-and-trade y los incentivos a reducir emisiones, El plan nacional de asignación de derechos de emisión (PNA) , La internalización del precio de los derechos de emisión
Contribución al calentamiento Global
OTROS TERMINOS RELACIONADOS: CO2 equivalente, Gases de efecto invernadero, Efecto invernadero, Externalidad ambiental
PREGUNTAS FRECUENTES RELACIONADAS: ¿Está cambiando el clima de la tierra?, ¿Cuáles son las razones “físicas” que explican el cambio climático? ¿Cuáles son las razones “económicas” que explican el cambio climático?
FICHAS RELACIONADAS: El cambio climático y el protocolo de Kioto, Gases de efecto invernadero (GEI), Efecto invernadero, Externalidad ambiental
Convención marco de las naciones unidas sobre el cambio climático (CMNUCC, en inglés United Nations on Climate Change, UNFCC)
Más información: http://unfccc.int/2860.php
OTROS TERMINOS RELACIONADOS: Efecto invernadero, Combustibles fósiles, Emisiones antropogénicas, Carbono, Cambio climático, Protocolo de Kioto, Panel Intergubernamental sobre Cambio Climático (IPCC)
PREGUNTAS FRECUENTES RELACIONADAS: ¿Está cambiando el clima de la tierra?, ¿Cuáles son las razones “físicas” que explican el cambio climático?¿ Cuáles son las razones “económicas” que explican el cambio climático? ¿Cuáles pueden ser las consecuencias del cambio climático?
FICHA RELACIONADA: El cambio climático y el protocolo de Kioto
Daño ambiental
Según la Ley 26/2007 de Responsabilidad Ambiental, entran dentro del concepto de daño ambiental la siguiente tipología de daños:
• Los daños a las especies silvestres y a los hábitats, es decir, cualquier daño que produzca efectos adversos significativos en la posibilidad de alcanzar o de mantener el estado favorable de conservación de esos hábitats o especies.
• Los daños a las aguas, entendidos como cualquier daño que produzca efectos adversos significativos tanto en el estado ecológico, químico y cuantitativo de las masas de agua superficiales o subterráneas, como en el potencial ecológico de las masas de agua artificiales y muy modificadas.
• Los daños a la ribera del mar y de las rías, entendidos como cualquier daño que produzca efectos adversos significativos sobre su integridad física y adecuada conservación, así como también aquéllos otros que impliquen dificultad o imposibilidad de conseguir o mantener un adecuado nivel de calidad de aquélla.
• Los daños al suelo, es decir, cualquier contaminación del suelo que suponga un riesgo significativo de que se produzcan efectos adversos para la salud humana o para el medio ambiente debidos al depósito, vertido o introducción directos o indirectos de sustancias, preparados, organismos o microorganismos en el suelo o en el subsuelo.
OTROS TERMINOS RELACIONADOS: Ecosistema, Medio ambiente, Calidad del medio ambiente,Sustancias contaminantes , Cambio climático, Externalidad ambiental, Internalización de externalidades
PREGUNTAS FRECUENTES RELACIONADAS: ¿Cuáles son los principales impactos ambientales del sector eléctrico?, ¿Cómo se regulan o controlan los impactos ambientales del sector eléctrico?
FICHA RELACIONADA: El cambio climático y el protocolo de Kioto
Derecho de emisión
Los operadores cuyos informes de emisión del año anterior no resultaran satisfactorios en la verificación no podrán vender derechos hasta que un informe revisado sea aprobado por un verificador. Los derechos no constan en impresos, sino en las cuentas de los registros electrónicos constituidos por los Estados miembros. La Comisión Europea ha establecido una legislación específica para la constitución de un sistema normalizado y garantizado de registros basado en las normas de intercambio de datos de Naciones Unidas para llevar el cómputo de la expedición, la titularidad, la transferencia y la cancelación de derechos de emisión. También se incluyen en el régimen de la UE disposiciones para el seguimiento y utilización de créditos de proyectos MAC y MDL. El sistema de registro es similar al sistema de un banco, que lleva el cómputo de los cambios en la propiedad del dinero en las cuentas, pero no se fija en las transacciones que hacen que el dinero cambie de manos. El sistema de registros es supervisado por un administrador central a nivel de la UE que, mediante un registro independiente de transacciones, comprueba cada una de ellas en busca de irregularidades. Toda irregularidad detectada impide que se lleve a cabo la transacción hasta que sea subsanada. El sistema de registros de la UE será integrado en el sistema internacional de registros utilizado en el Protocolo de Kioto.
OTROS TERMINOS RELACIONADOS: Comercio de derechos de emisión, Plan Nacional de Asignación (PNA), Externalidad ambiental, Internalización de externalidades, Unidades de reducción de emisiones
PREGUNTAS FRECUENTES RELACIONADAS:¿Cuál es el objetivo del comercio de emisiones?,¿Qué instalaciones abarca el EU-ETS?,¿Cómo funciona el comercio de emisiones?, ¿Cómo funciona en la práctica el comercio de emisiones?, ¿Cómo se forma el precio de los derechos de emisión?
FICHAS RELACIONADAS: El cambio climático y el protocolo de Kioto, El esquema cap-and-trade y los incentivos a reducir emisiones, El plan nacional de asignación de derechos de emisión (PNA), La internalización del precio de los derechos de emisión, Asignación gratuita de derechos e ingresos de los generadores, Derechos de emisión y beneficios de los generadores, Derechos de emisión y windfall profits / windfall losses
Dióxido de carbono o CO2
OTROS TERMINOS RELACIONADOS: Efecto invernadero, Combustibles fósiles, Emisiones antropogénicas, Carbono, Cambio climático, Protocolo de Kioto, Comercio de derechos de emisión, Derecho de emisión, Gases de efecto invernadero (GEI), Sustancias contaminantes, Externalidad ambiental, Contribución al calentamiento global, CO2 equivalente, Clima
PREGUNTAS FRECUENTES RELACIONADAS: ¿Está cambiando el clima de la tierra?, ¿Cuáles son las razones “físicas” que explican el cambio climático? ¿Cuáles son las razones “económicas” que explican el cambio climático?
FICHA RELACIONADA: El cambio climático y el protocolo de Kioto,
Ecosistema
OTROS TERMINOS RELACIONADOS: Medio ambiente, Calidad del medio ambiente, Sustancias contaminantes, Daño ambiental , Clima, Cambio climático
PREGUNTAS FRECUENTES RELACIONADAS: ¿Cuáles son los principales impactos ambientales del sector eléctrico?, ¿Cómo se regulan o controlan los impactos ambientales del sector eléctrico?
FICHA RELACIONADA: El cambio climático y el protocolo de Kioto
Efecto invernadero
El efecto invernadero se produce naturalmente por la presencia natural de GEI, siendo necesario para el desarrollo de la vida en nuestro planeta. Sin embargo, una concentración excesiva de estos gases, produce también un excesivo efecto invernadero, lo que implica un aumento de la temperatura de la atmósfera terrestre que causa el denominado cambio climático.
OTROS TERMINOS RELACIONADOS: Gases de efecto invernadero (GEI), Externalidad ambiental, Combustibles fósiles, Emisiones antropogénicas, Carbono, Dióxido de carbono o CO2, Contribución al calentamiento global, CO2 equivalente, Metano o CH4, Óxidos de nitrógeno o NOX, Clorofluorocarbonos o CFC, Clima, Cambio climático
PREGUNTAS FRECUENTES RELACIONADAS: ¿Está cambiando el clima de la tierra?, ¿Cuáles son las razones “físicas” que explican el cambio climático? ¿Cuáles son las razones “económicas” que explican el cambio climático?
FICHA RELACIONADA: El cambio climático y el protocolo de Kioto,
Eficiencia energética
OTROS TERMINOS RELACIONADOS: CO2 Equivalente, Informe Stern,Tecnologías y productos “limpios”, Externalidad ambiental, Internalización de externalidades
PREGUNTAS FRECUENTE RELACIONADAS: ¿A cuánto ascenderían los costes del cambio climático?, ¿Cómo podrían reducirse las emisiones de gases de efecto invernadero?, ¿Cuánto costaría estabilizar la concentración de CO2?
FICHAS RELACIONADAS: El cambio climático y el protocolo de Kioto, La internalización del precio de los derechos de emisión
Emisiones antropogénicas
OTROS TERMINOS RELACIONADOS: Efecto invernadero, Combustibles fósiles, Carbono, Diócido de carbono o CO2, Contribución al calentamiento global, CO2 equivalente, Metano o CH4, Óxido de nitrógeno o NOX, Clorofluorocarbonos o CFC, Clima, Cambio climático, Sustancias contaminantes, Daño ambiental, Gases de efecto invernadero (GEI), Protocolo de Kioto, Externalidad ambiental
PREGUNTAS FRECUENTES RELACIONADAS: ¿Está cambiando el clima de la tierra?, ¿Cuáles son las razones “físicas” que explican el cambio climático? ¿Cuáles son las razones “económicas” que explican el cambio climático?
FICHA RELACIONADA: El cambio climático y el protocolo de Kioto
Externalidad ambiental
Cuando los individuos no soportan todas las consecuencias derivadas de sus decisiones, cabe esperar que éstas no sean eficientes. Consideremos el ejemplo siguiente, en el que hay una única externalidad negativa en la producción. Supongamos que el bien X es producido por una empresa, y el bien Y por otra. Además de utilizar capital y trabajo, cada productor hace uso también de la atmósfera, un recurso ambiental, como factor productivo, pero no se paga nada por el uso de este recurso. Además, suponemos que la producción de Y genera contaminación atmosférica. Esta contaminación genera una externalidad negativa, que afecta adversamente a la producción de X, pero no a la de Y.
En una economía de mercado competitiva, cada empresa maximiza beneficios independientemente. Sin embargo, en este caso los recursos no se están asignando eficientemente: existen ganancias potenciales que no están aprovechando, pues el comportamiento competitivo individual no maximiza los beneficios globales. Concretamente, el equilibrio competitivo conduce a una producción del bien Y excesiva, y a un nivel de emisiones excesivo. La solución eficiente pasaría por maximizar los beneficios conjuntos de ambas empresas.
OTROS TERMINOS RELACIONADOS: Internalización de externalidades, Efecto invernadero, Gases de efecto invernadero (GEI), Emisiones antropogénicas, Daño ambiental, Cambio climático, Sustancias contaminantes
PREGUNTAS FRECUENTE RELACIONADAS: ¿Afectarán los objetivos de Kioto a la competividad de la UE? ¿Por qué se plantea que toda la asignación a partir de 2013 de derechos de emisión al sector eléctrico sea bajo subasta?
FICHAS RELACIONADAS: La internalización del precio de los derechos de emisión, Asignación gratuita de derechos e ingresos de los generadores, Derechos de emisión y beneficios de los generadores
Fuga de carbono o “carbón leakage”
OTROS TERMINOS RELACIONADOS: Comercio de derechos de emisión, Plan Nacional de Asignación (PNA), Externalidad ambiental, Internalización de externalidades, Unidades de reducción de emisiones, Protocolo de kioto, Mecanismo de desarrollo limpio, Partes del Anexo 1
PREGUNTAS FRECUENTE RELACIONADAS: ¿Cuánto costará cumplir los objetivos de Kioto? ¿Generará el comercio de emisiones precios de electricidad mayores?
FICHAS RELACIONADAS: El cambio climático y el protocolo de Kioto El esquema cap-and-trade y los incentivos a reducir emisiones El plan nacional de asignación de derechos de emisión (PNA) La internalización del precio de los derechos de emisión, Asignación gratuita de derechos e ingresos de los generadores, Derechos de emisión y beneficios de los generadores
Gases de efecto invernadero (GEI)
Los principales GEI son: vapor de agua, dióxido de carbono (CO2), metano (CH4), óxidos de nitrógeno (NOX), ozono (O3) y clorofluorocarburos (CFC’s) (estos últimos son artificiales, no existen en la naturaleza sino que son producto de la industria). Desde la Revolución Industrial, la actividad económica ha provocado un incremento de las emisiones de algunos de estos GEI debido principalmente a la quema de combustibles fósiles.
OTROS TERMINOS RELACIONADOS: Efecto invernadero, Combustibles fósiles, Carbono, Dióxido de carbono o CO2, Contribución la calentamiento global, CO2 equivalente, Metano o CH4, Óxido de nitrrógeno o NOX, Clorofluorocarbonos o CFC, Clima, Cambio climático
PREGUNTAS FRECUENTES RELACIONADAS: ¿Está cambiando el clima de la tierra?, ¿Cuáles son las razones “físicas” que explican el cambio climático? ¿Cuáles son las razones “económicas” que explican el cambio climático? ¿Cómo podrían reducirse las emisiones de gases de efecto invernadero? ¿Cuál es el objetivo del Protocolo de Kioto? ¿Cuál es el objetivo del comercio de emisiones?
FICHAS RELACIONADAS: El cambio climático y el protocolo de Kioto
Informe Stern
OTROS TERMINOS RELACIONADOS: Cambio climático, Daño ambiental, Gases de efecto invernadero (GEI), Efecto invernadero, Emisiones antropogénicas, Externalidad ambiental, Internalización de externalidades, Tecnologías y productos limpios, Eficiencia energética
PREGUNTAS FRECUENTE RELACIONADAS: ¿Cuánto costaría estabilizar la concentración de CO2?, ¿A cuánto ascenderían los costes del cambio climático?, ¿Está cambiando el clima de la tierra?, ¿Cuáles son las razones “físicas” que explican el cambio climático?, ¿Cuáles son las razones “económicas” que explican el cambio climático?, ¿Cuáles pueden ser las consecuencias del cambio climático?, ¿Cómo podrían reducirse las emisiones de gases de efecto invernadero?
FICHA RELACIONADA: El cambio climático y el protocolo de Kioto
Internalización de externalidades
Por ejemplo, si se trata de una empresa con emisiones contaminantes, puede conseguirse que aquélla las reduzca cobrándole un impuesto por cada unidad de emisiones (siguiendo el principio de «quien contamina, paga»). Otra alternativa sería concederle una subvención para que instale elementos capaces de recortar las emisiones (filtros y demás). Una tercera posibilidad sería prohibir tajantemente dichas emisiones y forzarle a cambiar sus procesos productivos o a cesar su actividad. Cada medida posible tiene sus ventajas y sus inconvenientes. La eficiencia es un objetivo deseable, y debe intentarse que las emisiones se sitúen en el nivel adecuado. Pero los aspectos distributivos (quién paga, quién cobra) también son relevantes en la práctica.
OTROS TERMINOS RELACIONADOS: Externalidad ambiental, Daño ambiental, Protocolo de Kioto, Comercio de derechos de emisión, Fuga de carbono
PREGUNTAS FRECUENTE RELACIONADAS: ¿Afectarán los objetivos de Kyoto a la competividad de la UEPor qué se plantea que toda las asignación a partir de 2013 de derechos de emisión al sector eléctrico sea bajo subasta?, ¿Cuál es el objetivo del comercio de emisiones?, ¿Cómo funciona el comercio de emisiones?, ¿Cómo funciona en la práctica el comercio de emisiones? ¿Cómo se forma el precio de los derechos de emisión? ¿Cómo deberían asignarse los derechos?, ¿Deberían los derechos asignarse gratuitamente o venderse/subastarse? ¿Son soberanos los Estados a la hora de realizar los Planes Nacionales de Asignación?, ¿Generará el comercio de emisiones precios de electricidad mayores?
FICHA RELACIONADA: La internalización del precio de los derechos de emisión, Asignación gratuita de derechos e ingresos de los generadores, Derechos de emisión y beneficios de los generadores, Derechos de emisión y windfall profits / windfall losses
Mecanismo de aplicación conjunta (AC)
OTROS TERMINOS RELACIONADOS: Comercio de derechos de emisión, Mecanismo de desarrollo limpio (MDL), Partes del Anexo I, Derecho de emisión, Plan Nacional de Asignación (PNA), Externalidad ambiental, Internalización de externalidades, Unidades de reducción de emisiones, Certificado de Reducción de Emisiones (CRE)
PREGUNTAS FRECUENTES RELACIONADAS:¿Cuál es el objetivo del comercio de emisiones?,¿Qué instalaciones abarca el EU-ETS?,¿Cómo funciona el comercio de emisiones? ¿Cómo funciona en la práctica el comercio de emisiones?, ¿Cómo se forma el precio de los derechos de emisión?
FICHAS RELACIONADAS: El cambio climático y el protocolo de Kioto, El esquema cap-and-trade y los incentivos a reducir emisiones, El plan nacional de asignación de derechos de emisión (PNA)
Mecanismo de desarrollo limpio (MDL)
OTROS TERMINOS RELACIONADOS: Comercio de derechos de emisión, Mecanismo de Aplicación Conjunta (AC), Partes del Anexo I, Derecho de emisión, Plan Nacional de Asignación (PNA), Externalidad ambiental, Internalización de externalidades, Unidades de reducción de emisiones, Certificado de Reducción de Emisiones (CRE)
PREGUNTAS FRECUENTES RELACIONADAS: ¿Cuál es el objetivo del comercio de emisiones?, ¿Qué instalaciones abarca el EU-ETS?, ¿Cómo funciona el comercio de emisiones?, ¿Cómo funciona en la práctica el comercio de emisiones?, ¿Cómo se forma el precio de los derechos de emisión?
FICHAS RELACIONADAS: El cambio climático y el protocolo de Kioto, El esquema cap-and-trade y los incentivos a reducir emisiones, El plan nacional de asignación de derechos de emisión (PNA)
Medio ambiente
OTROS TERMINOS RELACIONADOS: Ecosistema, Calidad del medio ambiente, Sustancias contaminantes, Daño ambiental , Clima, Cambio climático
PREGUNTAS FRECUENTES RELACIONADAS: ¿Cuáles son los principales impactos ambientales del sector eléctrico?, ¿Cómo se regulan o controlan los impactos ambientales del sector eléctrico?
FICHA RELACIONADA: El cambio climático y el protocolo de Kioto
Metano o CH4
OTROS TERMINOS RELACIONADOS: Efecto invernadero, Combustibles fósiles, Emisiones antropogénicas, Carbono, Cambio climático, Sustancias contaminantes, Externalidad ambiental, Gases de efecto invernadero (GEI)
PREGUNTAS FRECUENTES RELACIONADAS: ¿Está cambiando el clima de la tierra?, ¿Cuáles son las razones “físicas” que explican el cambio climático? ¿Cuáles son las razones “económicas” que explican el cambio climático?
FICHA RELACIONADA: El cambio climático y el protocolo de Kioto
Óxidos de nitrógeno o Nox
OTROS TERMINOS RELACIONADOS: Efecto invernadero, Combustibles fósiles, Emisiones antropogénicas, Carbono, Cambio climático, Sustancias contaminantes, Externalidad ambiental, Gases de efecto invernadero (GEI)
PREGUNTAS FRECUENTES RELACIONADAS: ¿Está cambiando el clima de la tierra?, ¿Cuáles son las razones “físicas” que explican el cambio climático? ¿Cuáles son las razones “económicas” que explican el cambio climático?
FICHA RELACIONADA: El cambio climático y el protocolo de Kioto
Panel Intergubernamental sobre cambio climático (IPCC)
OTROS TERMINOS RELACIONADOS: Gases de efecto invernadero (GEI), Cambio climático, Convención marco, Protocolo de Kioto, Efecto invernadero
PREGUNTAS FRECUENTES RELACIONADAS: ¿Está cambiando el clima de la tierra?, ¿Cuáles son las razones “físicas” que explican el cambio climático? ¿Cuáles son las razones “económicas” que explican el cambio climático?, ¿Cuáles pueden ser las consecuencias del cambio climático?, ¿Cómo podrían reducirse las emisiones de gases de efecto invernadero?, ¿Cuál es el objetivo del Protocolo de Kyoto?, ¿Cuánto costará cumplir los objetivos de Kioto?, ¿ Cuánto costaría estabilizar la concentración de CO2?
FICHA RELACIONADA: El cambio climático y el protocolo de Kioto
Partes del anexo I
OTROS TERMINOS RELACIONADOS: Gases de efecto invernadero (GEI), Cambio climático, Convención marco, Protocolo de Kioto, Efecto invernadero
PREGUNTAS FRECUENTES RELACIONADAS: ¿Cuál es el objetivo del Protocolo de Kyoto? ¿Cuánto costará cumplir los objetivos de Kioto? ¿Cuánto costaría estabilizar la concentración de CO2?
FICHA RELACIONADA: El cambio climático y el protocolo de Kioto
Plan nacional de asignación (PNA)
Una vez aprobado un plan, la cantidad total de derechos no puede modificarse, y una vez efectuada la asignación definitiva del Estado miembro, tampoco puede modificarse el número de derechos por instalación.
OTROS TERMINOS RELACIONADOS: Derechos de emisión, Protocolo de Kioto, Comercio de derechos de emisión, Externalidad ambiental, Internalización de externalidades, Acción temprana
PREGUNTAS FRECUENTE RELACIONADAS:¿Son soberanos los Estados a la hora de realizar los Planes Nacionales de Asignación?
FICHA RELACIONADA: El plan nacional de asignación de derechos de emisión (PNA)
Protocolo de Kioto
OTROS TERMINOS RELACIONADOS: Gases de efecto invernadero (GEI), Cambio climático, Convención marco, Comercio de derechos de emisión, Mecanismos de desarrollo limpio, Mecanismo de acción conjunta, Efecto invernadero, Partes del
Anexo 1
PREGUNTAS FRECUENTES RELACIONADAS: ,¿Cuáles pueden ser las consecuencias del cambio climático? ¿Cómo podrían reducirse las emisiones de gases de efecto invernadero?, ¿Cuál es el objetivo del Protocolo de Kyoto?, ¿Cuánto costará cumplir los objetivos de Kioto?, ¿Cuánto costaría estabilizar la concentración de CO2? ¿Afectarán los objetivos de Kioto a la competitividad de la UE?
FICHA RELACIONADA: El cambio climático y el protocolo de Kioto
Sumideros de Carbono
OTROS TERMINOS RELACIONADOS: Carbono, Tecnologías y productos “limpios”, Eficiencia energética, Gases de efecto invernadero, Dióxido de carbono o CO2, Convención marco, Protocolo de Kioto, Mecanismo de desarrollo limpio, Mecanismo de acción conjunta
PREGUNTAS FRECUENTE RELACIONADAS: Cuánto costaría estabilizar la concentración de CO2?
FICHA RELACIONADA: La internalización del precio de los derechos de emisión
Sustancias contaminantes
Se trata de un término de difícil definición; algunos expertos opinan que existe contaminación ante cualquier volumen de residuos (por pequeño que éste sea) mientras que otros sostienen que sólo puede hablarse de contaminación si el entorno se ha deteriorado lo bastante como para causar un daño apreciable o como para no poder volver a recuperarse. Generalmente, utilizamos el término “vertido” para designar las sustancias que van a parar al agua, utilizamos el término “emisiones” para referirnos a los sustancias que van a parar al aire y el termino “residuos” para referirnos a las sustancias que van a parar a la tierra.
OTROS TERMINOS RELACIONADOS: Ecosistema, Medio ambiente, Calidad del medio ambiente, Daño ambiental , Gases de efecto invernadero (GEI), Emisiones antropogénicas, Dióxido de carbono o CO2, CO2 equivalente, Metano o CH4, Óxidos de nitrógeno o NOX, Clorofluorocarbonos o CFC
PREGUNTAS FRECUENTES RELACIONADAS: ¿Cuáles son los principales impactos ambientales del sector eléctrico?, ¿Cómo se regulan o controlan los impactos ambientales del sector eléctrico?
FICHA RELACIONADA: El cambio climático y el protocolo de Kioto
Título de alternador
OTROS TERMINOS RELACIONADOS: Carbono, Informe Stern, Sustancias contaminantes, Daño ambiental, Gases de efecto invernadero, Mecanismo de desarrollo limpio, Mecanismo de acción conjunta, Eficiencia energética
PREGUNTAS FRECUENTE RELACIONADAS: ¿A cuánto ascenderían los costes del cambio climático? ¿Cuánto costará cumplir los objetivos de Kioto?, ¿Qué significan unas emisiones de carbono «negativas»?, ¿Cuánto costaría estabilizar la concentración de CO2?
FICHAS RELACIONADAS: El cambio climático y el protocolo de Kioto, La internalización del precio de los derechos de emisión
Unidades de reducción de emisiones
OTROS TERMINOS RELACIONADOS: Comercio de derechos de emisión, Plan Nacional de Asignación (PNA), Externalidad ambiental, Internalización de externalidades, Protocolo de Kioto, Mecanismo de acción conjunta, Partes del Anexo 1.
PREGUNTAS FRECUENTES RELACIONADAS: ¿Cuál es el objetivo del comercio de emisiones?, ¿Qué instalaciones abarca el EU-ETS?, ¿Cómo funciona el comercio de emisiones?, ¿Cómo funciona en la práctica el comercio de emisiones?, ¿Cómo se forma el precio de los derechos de emisión?
FICHAS RELACIONADAS: El cambio climático y el protocolo de Kioto, El esquema cap-and-trade y los incentivos a reducir emisiones, El plan nacional de asignación de derechos de emisión (PNA)
Suscríbete a nuestro boletín
y conoce todas las novedades del sector de la energía.




